Девятый рейтинг эффективности управления в городских округах Российской Федерации
![1. Основные результаты рейтинга эффективности управления Агентство политических и экономических коммуникаций (АПЭК) представляет девятый рейтинг эффективности управления в городских округах Российской Федерации. Наш рейтинг основан на синтезе экспертных оценок и специальным образом обработанных статистических данных. Он представляет собой результаты уникального исследования, не имеющего аналогов в российской практике изучения муниципальной власти. В отличие от выпускаемого АПЭК рейтинга эффективности управления в субъектах Федерации данный рейтинг не привязан к личности главы территории, что изначально было обусловлено наличием во многих городах «двуглавой» модели местного […]](https://regcomment.ru/wp-content/uploads/2025/12/rejting-360x189.jpg)
1. Основные результаты рейтинга эффективности управления
Агентство политических и экономических коммуникаций (АПЭК) представляет девятый рейтинг эффективности управления в городских округах Российской Федерации. Наш рейтинг основан на синтезе экспертных оценок и специальным образом обработанных статистических данных. Он представляет собой результаты уникального исследования, не имеющего аналогов в российской практике изучения муниципальной власти.
В отличие от выпускаемого АПЭК рейтинга эффективности управления в субъектах Федерации данный рейтинг не привязан к личности главы территории, что изначально было обусловлено наличием во многих городах «двуглавой» модели местного самоуправления и связанным с этим распределением публичной ответственности между различными властными органами муниципального уровня. В настоящее время, в соответствии с новым законодательством, ускоряется (но далеко не завершен) переход к «одноглавой» модели местного самоуправления, но на этапе составления данного рейтинга мы посчитали корректным сохранить прежний подход. В этой связи рейтинг эффективности управления в городских округах на настоящем этапе не имеет прямо персонифицированного характера и призван показать актуальные результаты работы муниципальной власти в целом. В представленном рейтинге даны оценки эффективности работы городской власти за 2025 год[1].
2025-й год ознаменовался запуском муниципальной реформы, старт которой дало принятие нового федерального закона от 20 марта 2025 года № 33‑ФЗ «Об общих принципах организации местного самоуправления в единой системе публичной власти». Запуск завершил процесс длительного рассмотрения этого закона, принятого в первом чтении еще в начале 2022 года. Теперь можно с уверенностью говорить о том, что процесс реализации реформы, вытекающей из конституционных поправок 2020 года и предполагающей укрепление единой системы публичной власти в стране, стартовал.
Имплементация нового законодательства в регионах только начинается, но многие субъекты федерации предпочитают не медлить. Муниципальная реформа, во-первых, вносит существенные коррективы в порядок формирования корпуса российских мэров, что имеет самое прямое отношение и к нашему рейтингу. Согласно законодательству, становятся невозможными прямые выборы мэров в региональных административных центрах (которые до последнего времени сохранялись в нескольких городах, главы которые еще избраны по старой процедуре). При этом для региональных столиц обязательной становится «губернаторская» модель формирования корпуса мэров, в соответствии с которой предлагать кандидатов для утверждения местным собранием депутатов будет глава региона. Тем самым усиливается управленческая связка между губернаторским корпусом и руководством российских городов.
Во-вторых, новый закон сохраняет, но скорее в порядке исключения двухуровневую модель местного самоуправления, тогда как сами субъекты Федерации все чаще переходят на одноуровневую модель. При этом в городских округах два уровня местного самоуправления вновь стали невозможными, в связи с чем подобные эксперименты в Челябинске, Самаре и Махачкале были полностью завершены.
В-третьих, законодательство заново определяет полномочия муниципальной власти и уточняет порядок перераспределения полномочий между региональным и местным уровнями. Городское управление начинает функционировать в новых условиях, связанных с корректировкой требований к его работе, а также возможными серьезными различиями между городами, вызванными индивидуальными решениями о передаче и делегировании полномочий сверху вниз и снизу вверх.
Пока новая реформа только начинается, хотя идет достаточно быстро. В течение 2025 года еще больше российских городов отказывались от двуглавой модели местного самоуправления. В частности, был завершен переход к этой модели с формированием городского руководства по новым правилам в Ростове-на-Дону, Калуге, Вологде, Череповце, Костроме и Чите.
Неизбежным следствием реформы становятся кадровые перемены в корпусе мэров, хотя пока нельзя сказать, что их очень много. Например, переход к одноглавой модели местного самоуправления в ряде случаев привел к тому, что действующие главы городских администраций сохранили свои должности, при этом став полноценными главами городов. Такими примерами стали Чита (И.Щеглова), Кострома (А.Смирнов) и Калуга (Д.Денисов).
В целом в течение года принималось множество кадровых решений по поводу руководства российских городов. Многие главы городов сохранили свои позиции и были утверждены на новые сроки — как например, в Нижнем Новгороде, Архангельске, Орле, Белгороде, Тамбове, Ставрополе, Благовещенске, а также в случае главы администрации Черкесска (формально не являющегося первым лицом города). Наряду с этим был подтвержден ряд решений, когда чиновники, работавшие врио руководителей городов, получили окончательное утверждение в должности. Такими примерами стали О.Денисов в Пензе, И.Сухих в Тольятти и А.Науменко в Кургане. Однако отмечались и примеры быстрой кадровой динамики, когда главы городов по разным причинам покидали свои посты, проработав совсем немного времени: подобными примерами оказались Мурманск, Вологда, Чебоксары и Иваново.
Смена модели местного самоуправления в отдельных случаях все же сопровождалась большими переменами в городской власти. Так, в Ростове-на-Дону новым главой города стал бывший первый вице-губернатор А.Скрябин, тогда как З.Неярохина сохранила пост спикера городской думы, но утратила статус муниципального руководителя (а бывший глава администрации города А.Логвиненко впоследствии был арестован). Схожие перемены отмечались в Вологодской области. Так, в Вологде главой города при новой модели был утвержден С.Жестянников, ранее – первый заместитель губернатора и председатель Законодательного собрания региона. В Череповце со сменой модели местного самоуправления также появился новый мэр Р.Маслов, прежде руководивший пригородным Череповецким районом.
Целая серия крупных кадровых перемен была осуществлена при сохранении прежней одноглавой системы городского управления. В частности, в Северо-Западном федеральном округе новым мэром Мурманска стал И.Лебедев, бывший глава небольшого города Оленегорска, а новым мэром Сыктывкара – М.Мартышин, ранее работавший в правительстве республики. Поменялся мэр Курска, пост которого занял бывший глава регионального исполкома «Единой России» Е.Маслов. В Приволжском федеральном округе Саратов уже во второй раз возглавил опытный местный политик М.Исаев, глава Энгельсского района, в прошлом успевший побывать председателем областной думы, депутатом Госдумы и членом Совета Федерации, а главой Чебоксар стал бывший глава Ядринского муниципального округа С.Трофимов. В Махачкале новым главой города был утвержден Д.Салавов, работавший министром транспорта и дорожного хозяйства Дагестана. На Дальнем Востоке сменились мэр Магадана, которым стала Л.Поликанова, возглавлявшая контрольную палату города, и мэр Биробиджана, должность которого занял А.Кузьмин, бывший глава города Облучье и первый заместитель главы Ленинского района Еврейской АО, участник СВО. Наконец, перемены во власти затронули Оренбург, где исполнять обязанности мэра начал А.Юмадилов, бывший заместитель префекта Юго-Восточного административного округа Москвы, в отношении которого городской совет будет принимать окончательное решение в конце декабря.
Отмечались и важные перемены в новых регионах. Так, мэром Мариуполя был утвержден А.Кольцов, выходец из элит Вологодской области, ранее являвшийся главой правительства Вологодской области, а потом – Запорожской области. В Мелитополе город, напротив, возглавил представитель местной элиты С.Золотарев, тогда как его предшественница Г.Данильченко заняла крупную федеральную должность заместителя председателя Всероссийской ассоциации развития местного самоуправления. В Геническом муниципальном округе главой также стала представительница местной элиты Ю.Семякина, ранее работавшая в правительстве Херсонской области.
Отдельные кадровые перемены затрагивали города, где модель местного самоуправления еще не изменилась. Так, в Йошкар-Оле новым председателем собрания депутатов и главой городского округа был избран Е.Кузьмин, ранее работавший, в частности, первым заместителем главы правительства региона. В Нальчике в связи с кончиной главы города и председателя совета местного самоуправления И.Муравьева на его место депутаты избрали бывшего футболиста, генерального директора клуба «Спартак – Нальчик» А.Заруцкого.
Заметное влияние на замены мэров продолжала оказывать масштабная кампания по борьбе с коррупцией и иными злоупоттреблениями. В частности, запуск антикоррупционной проверки в Рязани привел к вынужденной отставке главы администрации города В.Артёмова, на место которого вскоре был утвержден бывший глава администрации Рязанского района Б.Ясинский. На фоне скандалов и административных дел покинул пост глава администрации Магаса З.Орцханов – исполнять обязанности главы администрации столицы Ингушетии стал М.Темурзиев.
В ряде случаев замены мэров сопровождались уголовными делами. Одним из главных примеров оказался арест некогда влиятельного мэра Красноярска В.Логинова, на место которого в настоящее время продвигается глава правительства Красноярского края С.Верещагин. Во Владимире попал под уголовное дело мэр города Д.Наумов, тоже вынужденно покинувший свой пост. Наконец, в Иваново мэр города А.Шаботинский формально ушел по собственному желанию (заняв этот пост лишь в 2024 году), но вскоре стало известно о заведении в отношении него уголовного дела.
Наконец, острый политический конфликт в течение года разгорался в Кызыле, где в итоге все-таки было принято и доведено до конца решение о досрочной отставке главы администрации города К.Сагаан-оола (исполнять обязанности главы администрации после этого стал В.Судер-оол, но окончательно решить вопрос о власти в городе быстро не удалось).
В целом 2025 год показал, что городское управление в России продолжает трансформироваться в процессе формирования единой системы публичной власти. Происходит оптимизация местного самоуправления и его отношений с региональной исполнительной властью. Одновременно развивается кадровая динамика, сочетающая продление полномочий многих мэров, доказавших так или иначе свою эффективность, с довольно резкими переменами, включая решительный отсев тех, кто оказался замешан в коррупции.
Общая динамика результата
Исследование городского управления в 2025 году продемонстрировало положительную динамику уровня его эффективности в сравнении с 2024 годом. Общий средний балл эффективности управления в городских округах оказался на уровне 0,548, тогда как в прошлом году – 0,544. Отметим, что рост эффективности идет уже не первый год. Выраженная позитивная динамика отмечена в политико-управленческом блоке, где средний балл поднялся с 0,578 до 0,588. Однако в рамках социально-экономического блока балл остался прежним (0,509).
Отметим в качестве позитивного сдвига, что, в отличие от прошлых лет, ни один из городов не набрал менее 0,4 баллов (в прошлом году таких городов было три: Улан-Удэ, Махачкала и Биробиджан; в позапрошлом – два). При этом число самых успешных городов, набравших более 0,6 баллов, в 2025 году достигло девяти (в 2024 году их было семь, а в 2023 году – восемь). Более того, сразу три города-лидера набрали более 0,7 баллов (в прошлом году таких городов не было). Таким образом, можно говорить о наличии общего позитивного тренда на повышение эффективности городского управления, совпадающего с формированием в России единой системы публичной власти.
Позиции лидеров и аутсайдеров
Рейтинг 2025 года подтвердил устойчивость группы городов-лидеров, одновременно зафиксировав ряд заметных перестановок внутри первой десятки по сравнению с 2024 годом. Лидером теперь стала Казань, сместившая Тюмень на вторую позицию, тогда как Грозный сохранил третье место. Ханты-Мансийск укрепил свои позиции, поднявшись с седьмого на четвертое место, а Ростов-на-Дону и Челябинск сохранили прошлогодние позиции, оставшись в середине первой десятки. Калуга тем временем улучшила результат, поднявшись с 10-го на 7-е место.
Существенным изменением стало появление в топ-10 новых городов: Южно-Сахалинска и Сургута — которые вытеснили из первой десятки Сочи и Набережные Челны. При этом Салехард заметно снизил позиции в рейтинге, переместившись с четвертой позиции в 2024 году на девятую в 2025-м.
Вторая десятка в 2025 году оказалась в целом устойчивой, но с рядом заметных перестановок. Из первой десятки сюда опустились Сочи и Набережные Челны: Сочи сместился с 8-го на 14-е место, а Набережные Челны — с 9-го на 11-е, заняв верхнюю позицию во второй десятке. Одновременно во вторую десятку, на фоне замены мэров, вошли Курск и Мариуполь: Курск значительно поднялся с 24-го на 16-е место, а Мариуполь немного укрепил позиции, переместившись с 21-го на 20-е место. Состав второй десятки по разным причинам покинули четыре города: Сургут и Южно-Сахалинск улучшили результат и перешли в первую десятку, тогда как Новокузнецк и Чебоксары, напротив, опустились на 22-е и 23-е места соответственно. Сохранили позиции во второй десятке Уфа, Самара, Краснодар, Белгород, Донецк и Луганск. Примечательными мы считаем высокие позиции ряда городов, относящихся к Донбассу и приграничным территориям, где эффективность городского управления подчеркивается беспрецедентной сложностью условий, в которых работают органы власти.
Случаи резкой динамики (перемещение на 10 и более позиций) в 2025 году сосредоточены преимущественно в нижней части рейтинга, хотя отдельные заметные сдвиги затронули и середину таблицы. Среди примеров ярко выраженной позитивной динамики выделяются Воронеж, поднявшийся после перемен в городском руководстве с 38-го на 28-е место, Тверь (с 54-го на 43-е), а также Ижевск, тоже улучшивший результат (с 83-го на 72-е место). В числе наиболее выраженных падений — Владимир, опустившийся с 30-го на 40-е место, Пенза (с 42-го на 53-е), Иваново (с 60-го на 74-е) и Чита (с 86-го на 96-е место). В случае Владимира и Иваново на негативную динамику очевидным образом повлияли масштабные коррупционные скандалы, приведшие к отставкам мэров.
В тройке наиболее проблемных городов в 2025 году произошла полная смена состава: если в 2024 году это были Биробиджан, Махачкала и Улан-Удэ, то теперь нижние позиции занимают Чита (которая при этом опустилась на 10 позиций), Оренбург (опустился на 7 позиций на фоне временной нестабильности в городской власти) и оказавшийся на последнем месте Архангельск (опустился на 3 позиции). Десятка аутсайдеров, впрочем, сохранила преемственность: в 2025 году в ней остались Кызыл, Магас, Омск, Улан-Удэ, Биробиджан, Назрань, Оренбург и Архангельск. Одновременно в список аутсайдеров вошли Новосибирск и Чита, а выбыли, поднявшись выше, Йошкар-Ола и Махачкала.
Анализ результатов по направлениям
В политико-управленческом блоке лидером в 2025 году по-прежнему остался Грозный. Состав первой десятки частично обновился: в неё вернулась Калуга (повысила свой рейтинг с 12-го места на 5-е), а Курск поднялся с 14-го места на 10-е, тогда как Белгород и Сочи выбыли из топ-10. Из динамики внутри первой десятки отдельно отметим Салехард, который ухудшил позиции, опустившись на шесть мест – с 3-го на 9-е.
Во вторую десятку в 2025 году вошли пять новичков: Белгород (который в 2024 году занимал чуть более высокое десятое место), Тверь, Нижний Тагил, Воронеж и Южно-Сахалинск. Покинули вторую десятку также пять городов: Калуга и Курск улучшили рейтинг и переместились в первую десятку, тогда как Чебоксары, Вологда и Кемерово опустились ниже 20-го места.
Последнюю десятку в 2025 году пополнили пять городов: Хабаровск, Омск, Пермь, Чита и Макеевка. При этом самую резкую отрицательную динамику продемонстрировали Чита (-17 позиций) и Хабаровск (-13 позиций). Напротив, покинули последнюю десятку по сравнению с 2024 годом Магас, Курган, Сыктывкар и Биробиджан, а также Махачкала, которая занимала последнее место по этому направлению, но на фоне смены мэра поднялась на целых 18 позиций.
В социально-экономическом блоке в 2025 году лидер сменился: на первое место вышел Ханты-Мансийск, тогда как Тюмень заняла вторую позицию. Первая десятка при этом в значительной степени обновилась. Новичками в ней стали Южно-Сахалинск, Ростов-на-Дону и Анадырь, тогда как из состава топ-10 образца 2024 года выбыли Салехард, Липецк и Донецк (все они переместились во вторую десятку).
Новичками во второй десятке в 2025 году, помимо городов, перешедших из первой десятки (Салехарда, Липецка и Донецка), стали Самара и Челябинск, улучшившие свои позиции. Покинули же вторую десятку Анадырь, Южно-Сахалинск, Ростов-на-Дону (которые поднялись наверх), Великий Новгород и Владимир (опустились вниз).
В последней десятке в 2025 году произошла заметная ротация. Новичками в ней в результате ухудшения своих позиций оказались Новосибирск, Махачкала, Иваново, Чита и Оренбург. Покинули же наиболее проблемную десятку Магас, Владивосток, Нарьян-Мар, Йошкар-Ола и Улан-Удэ (поднявшийся на 10 позиций).
Перспективы местных выборов
Среди городов, где в 2026 г. пройдут выборы в местные представительные органы, наиболее высокие и притом весьма устойчивые позиции в рейтинге занимают Грозный (3-е место) и Ханты-Мансийск (4-е место). К числу городов с сильными позициями также можно отнести Уфу (12-е место).
В средней части рейтинга — Кемерово (29-е место), Калининград (31-е место) и Саранск (35-е место). Несколько ниже находятся Нальчик (54-е место), и Саратов (60-е место), а наиболее слабые рейтинги городского управления демонстрируют Петрозаводск (68-е место) и Пермь (76-е место).
2. Методика рейтинга эффективности управления в городских округах
Рейтинг делится на два блока, по каждому из которых проводится своя оценка: политико-управленческий и социально-экономический. Каждый из этих блоков делится на несколько направлений, каждое из которых также оценивается отдельно. Итоговый (интегральный) рейтинг представляет собой обобщение рейтингов по политико-управленческому и социально-экономическому блокам (среднее арифметическое двух соответствующих показателей).
В рейтинге оценивается актуальная общественно-политическая и социально-экономическая ситуация в городских округах, прямо или косвенно связанная с деятельностью органов городской власти. Выборку составили все столицы субъектов Федерации, а также крупные городские округа с населением более 300 тыс. чел., не являющиеся региональными центрами. В Ингушетии, помимо столицы республики Магаса, мы включаем в рейтинг наиболее крупный город и бывшую столицу региона – Назрань. В Херсонской области в рейтинг входит Геническ, где располагаются в настоящее время ее органы управления. Итоговая выборка состоит из 98 городов.
По каждому из двух блоков, составляющих итоговую оценку, рассчитывается собственный рейтинг. Он получается путём усреднения оценок регионов по нескольким направлениям внутри блока.
Итоговые оценки по каждому направлению внутри блока представляют собой среднее арифметическое: а) усредненной совокупности нормированных статистических показателей и б) средней экспертной оценки. Такой подход позволяет минимизировать влияние проблемы неполной и немного устаревшей информации, которую в ряде случаев приходится использовать в данном рейтинге. Так, экспертные оценки имеют большое значение по той причине, что они относятся непосредственно к изучаемому периоду 2025 года и оценке работы городской власти. К этому же периоду имеет отношение бюджетная статистика. В то же время ряд статистических показателей доступны только за более ранние годы. Мы используем их в данном рейтинге исходя из того, что ситуация не могла измениться радикально и может быть условно распространена на исследуемый период данного рейтинга.
Показатели политико-управленческого блока
Рейтинг по политико-управленческому блоку складывается из двух направлений:
- общественно-политическая ситуация в городском округе;
- эффективность работы бюрократического аппарата.
Выделяя эти два направления, мы исходим из того, что в первом случае рассматриваются отношения городской власти с внешней общественно-политической средой, а во втором случае оценивается, как выстроена внутренняя деятельность власти.
Для расчетов по направлению «Общественно-политическая ситуация в городском округе» используются электоральная и финансовая статистика, а также экспертные оценки.
Электоральные данные позволяют судить об общественной поддержке власти.
- Уровень электоральной поддержки действующей власти. Использован показатель поддержки «Единой России» на выборах городского представительного собрания по партийным спискам в 2024-2025 гг. В отсутствие этих выборов в данный период используется результат «Единой России» на выборах регионального законодательного собрания на территории данного города в 2024-2025 гг. В случае отсутствия и этих выборов используются (в порядке приоритета): результат «Единой России» на выборах городского представительного собрания в 2021-2023 гг., результат «Единой России» на выборах регионального законодательного собрания на территории данного города в 2021-2023 гг. (аналогичным образом на территории города и также по партийным спискам)[2].
Большое значение имеют также отношения городской и региональной власти, у которых есть и свое финансовое измерение. С этой целью мы изучаем поступление в городские округа трансфертов, объемы которых существенно зависят от политических отношений между уровнями власти.
- Объем безвозмездных поступлений в бюджет городского округа на душу населения за январь-ноябрь 2025 г.[3]
- Динамика объема безвозмездных поступлений в бюджет городского округа за январь-ноябрь 2025 г. на душу населения в сравнении с аналогичным периодом 2024 г.
Экспертная оценка по данному направлению формировалась на основе усреднения экспертных оценок по следующим вопросам:
а) общественная поддержка и личная популярность главы города;
б) эффективность консолидации городской политической и деловой элиты и урегулирования внутриэлитных конфликтов;
в) эффективность продвижения городских интересов на региональном и федеральном уровне;
г) эффективность и бесконфликтность отношений с региональными властями;
д) эффективность взаимодействия с общественными движениями и организациями.
Ранжирование городских округов по уровню «Эффективности работы бюрократического аппарата» также осуществлялось посредством экспертных оценок и использования ряда статистических показателей.
Среди статистических данных нас, в частности, интересовали финансовое положение муниципальной бюрократии и ее численность:
- Доля работников органов местного самоуправления в населении города (последние доступные данные). Мы исходили из того, что эта доля должна быть минимальной.
- Отношение средней заработной платы работников органов местного самоуправления к средней заработной плате работников организаций (без субъектов малого предпринимательства) в городском округе (последние доступные данные). При интерпретации данного показателя мы считали, что неэффективными являются как слишком низкие, так и чрезмерно высокие зарплаты чиновников. В результате мы приравняли к нулю случаи, когда зарплата чиновников оказалась ниже средней по региону, а также случаи, когда зарплата чиновников превышает среднюю более чем в два раза. В интервале превышения от 1 до 2 мы исходим из гипотезы о повышении стимулов к эффективной работе пропорционально материальному поощрению[4].
- Расходы бюджета муниципального образования на содержание органов местного самоуправления, на душу населения (последние доступные данные). Здесь мы считали, что этот показатель должен быть минимальным.
- Доля расходов на общегосударственные вопросы в расходах бюджета городского округа за январь-ноябрь 2025 г. Как и в предыдущем случае, мы исходим из того, что эффективность власти означает минимальный уровень расходов на ее содержание.
- Динамика расходов на общегосударственные вопросы в расходах бюджета городского округа в январе-ноябре 2025 г. в сравнении с аналогичным периодом 2024 г. Эффективным мы считаем снижение этих расходов.
Наряду со всей этой совокупностью статистических показателей мы использовали экспертные оценки эффективности работы бюрократического аппарата в городских округах.
Показатели социально-экономического блока
Этот тематический блок состоит из основных направлений социальной, финансовой и экономической сферы, ответственность за которые, так или иначе, лежит на городской власти – образование, развитие ЖКХ, транспортная сфера и дорожное хозяйство, градостроительная сфера и развитие общественного пространства, сфера культуры, досуга и спорта, финансово-экономическая сфера, развитие и поддержка местного бизнеса.
Оценка по направлению «Образование» рассчитывается на основе средней оценки по статистическим показателям и средней экспертной оценки. В качестве статистических показателей использованы следующие индикаторы состояния общего и дошкольного образования:
- Доля детей в возрасте 1-6 лет, получающих дошкольную образовательную услугу, в общей численности детей в возрасте 1-6 лет. Использованы последние доступные данные.
- Число мест в дошкольных образовательных учреждениях в отношении к числу педагогических работников. Этот показатель нагрузки на работников сферы дошкольного образования также взят за последний доступный период.
- Расходы бюджета на дошкольное образование в расчете на душу населения за январь-ноябрь 2025 г.
- Динамика бюджетных расходов на дошкольное образование в расчете на душу населения за январь-ноябрь 2025 г. в отношении к аналогичному периоду 2024 г.
- Расходы бюджета на общее образование в расчете на душу населения за январь-ноябрь 2025 г.
- Динамика расходов на общее образование в расчете на душу населения, за январь-ноябрь 2025 г. в отношении к аналогичному периоду 2024 г.
Наряду со статистическими данными используется экспертная оценка развития сферы образования в городском округе.
Оценка по направлению «Развитие ЖКХ» тоже рассчитывается на основе средней оценки по статистическим показателям и средней экспертной оценки. В качестве статистических показателей использованы индикаторы финансирования сферы ЖКХ и работы городских властей по повышению качества услуг ЖКХ:
- Доля отремонтированных тепловых и паровых сетей в отношении к нуждающимся в замене и ремонте. Использованы последние доступные данные.
- Доля отремонтированной водопроводной сети в отношении к нуждающейся в замене и ремонте. Использованы последние доступные данные.
- Доля отремонтированной канализационной сети в отношении к нуждающейся в замене и ремонте. Использованы последние доступные данные.
- Доля муниципальных дошкольных образовательных учреждений, здания которых находятся в аварийном состоянии или требуют капитального ремонта, в общем числе таких учреждений. Использованы последние доступные данные.
- Расходы городского бюджета на ЖКХ в расчете на душу населения за январь-ноябрь 2025 г.
- Динамика городских бюджетных расходов на ЖКХ в расчете на душу населения за январь-ноябрь 2025 г. в сравнении с аналогичным периодом 2024 г.
Наряду со статистическими показателями использована экспертная оценка эффективности городского управления в сфере ЖКХ (включая энерго-, тепло-, водоснабжение).
Для оценки по направлению «Транспортная сфера и дорожное хозяйство» были использованы следующие статистические показатели финансовых расходов и актуального состояния дорожного хозяйства:
- Доля протяженности автодорог общего пользования местного значения, не отвечающих нормативным требованиям, в общей протяженности автомобильных дорог общего пользования местного значения. Использованы последние доступные данные.
- Расходы бюджета на дорожное хозяйство в расчете на душу населения за январь-ноябрь 2025 года.
- Динамика бюджетных расходов на дорожное хозяйство в расчете на душу населения за январь-ноябрь 2025 г. в сравнении с аналогичным периодом 2024 г.
Также в рамках данного направления используются две экспертные оценки:
а) Развитие местного дорожного хозяйства.
б) Развитие общественного транспорта.
Оценивая городские округа по направлению «Градостроительная сфера и развитие общественного пространства», нами был использован один статистический показатель:
- Доля населения, получившего жилые помещения и улучшившего жилищные условия в отчетном году, в общей численности населения, состоящего на учете в качестве нуждающегося в жилых помещениях. Использованы последние доступные данные.
Помимо статистических данных использовалась экспертная оценка благоустройства города, качества городской застройки и планирования, развития общественных пространств.
Оценка «Сферы культуры, досуга и спорта» включала в себя, с одной стороны, показатели бюджетной сферы:
- Расходы городского бюджета на культуру в расчете на душу населения за январь-ноябрь 2025 г.
- Динамика городских бюджетных расходов на культуру в расчете на душу населения за январь-ноябрь 2025 г. в сравнении с аналогичным периодом 2024 г.
Также была использована экспертная оценка развития в городском округе культуры и сферы досуга, физической культуры и спорта.
При оценивании «Финансово-экономической сферы» главное внимание уделялось вопросам сбалансированности городских бюджетов и успешности инвестиционной политики в городе:
- Объем инвестиций в основной капитал (за исключением бюджетных средств) в расчете на душу населения. Были использованы последние доступные статистические данные.
- Объем инвестиций в основной капитал за счет средств бюджета городского округа в расчете на душу населения. Использовались последние доступные статистические данные.
- Уровень долговой нагрузки, по состоянию на 1 ноября 2025 г. (рассчитывалось отношение муниципального долга к объему собственных налоговых и неналоговых доходов городского округа).
- Дефицит/профицит бюджета городского округа за январь-ноябрь 2025 г. В данном случае профицит автоматически считался индикатором самой высокой эффективности без учета его размера, а показатель дефицита оценивался в нормированном виде – от максимального до минимального.
Кроме того, использовалась экспертная оценка эффективности финансово-бюджетной политики в городском округе.
В оценке по направлению «Развитие и поддержка местного бизнеса» использовались показатель числа индивидуальных предпринимателей в городе на душу населения, а также экспертная оценка эффективности развития и поддержки местного бизнеса.
Стандартизация данных
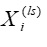
Очевидно, что использованные показатели имеют неодинаковую размерность, то есть измерены в разных единицах. Поэтому необходимо было привести их к сопоставимому виду. С этой целью в данном проекте использован метод линейного масштабирования. Его суть состоит в том, чтобы отобразить значения каждого показателя в интервале от 0 до 1, сохраняя все пропорции между отдельными значениями. Таким образом, сохраняются все структурные характеристики исходного показателя.
В применяемой формуле масштабированное значение
получается в результате деления разности наблюдаемого
и минимального значения переменной на ее размах:
(1)
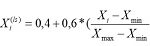
В том случае, когда непосредственно измеряемый показатель отрицательно связан с высокой эффективностью, применяется обратное линейное масштабирование: полученный в линейном масштабе показатель вычитается из единицы:
(2)
Тогда распределение масштабированного показателя становится «зеркальным отображением» исходного показателя, если его высокие значения свидетельствуют о неэффективности.
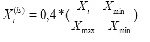
В отношении показателей динамики (рост или спад) и показателей, имеющих как положительные, так и отрицательные значения, применялась процедура линейного масштабирования отдельно для положительных и отрицательных значений (или значений больше или меньше 1 (100%), в случае вычисления динамики как частного) с последующим объединением в интервал [0;1] посредством линейного сжатия рядов[5]:
![]()
— для негативной динамики (интервал оценки [0;0,4]) (3)
— для позитивной динамики (интервал оценки [0,4;1]) (4)
В расчете итоговой оценки мы считаем принципиальным различение двух типов показателей: показатели, полученные в ходе экспертного опроса (первичные данные), и показатели, взятые из других источников (официальная статистика). Итоговые экспертные оценки по каждому из направлений получены как средние арифметические всех полученных по данному направлению экспертных оценок. Итоговые оценки неэкспертного происхождения получены как средние арифметические всех показателей, входящих в данное направление (после их линейного масштабирования). Общая оценка по направлению получена как среднее общей экспертной и общей неэкспертной оценки.
Эти два вида оценок включены в общую оценку по направлению в равной пропорции. Равенство пропорции позволяет учесть достоинства и недостатки каждого вида оценки. Так, экспертные оценки получены по состоянию на момент проведения экспертного опроса, т.е. ноябрь-декабрь 2025 г. и оценивают действующую городскую власть по итогам ее работы в текущем году. С другой стороны, экспертные оценки могут грешить субъективизмом, и в этой связи важно использовать всю доступную статистику. Очевидно, что идеальная методика оценки эффективности городской власти невозможна, но разработанная нами методика, на наш взгляд, максимально приближена к реальности.
Экспертные оценки
Для каждого из направлений всех двух блоков получена экспертная оценка от федеральных и региональных экспертов, представляющая собой число от 0 до 5 (5 – наивысшая оценка). Конкретные позиции для экспертного оценивания приведены ниже.
| Тематический блок | Показатель для экспертного оценивания |
| Политико-управленческий блок | Общественная поддержка и личная популярность главы города |
| Эффективность консолидации городской политической и деловой элиты и урегулирования внутриэлитных конфликтов | |
| Эффективность продвижения городских интересов на региональном и федеральном уровне | |
| Эффективность и бесконфликтность отношений с региональными властями | |
| Эффективность взаимодействия с общественными движения и организациями | |
| Эффективность работы бюрократического аппарата | |
| Социально-экономический блок | Развитие сферы образования |
| Управление ЖКХ (включая энерго-, тепло-, водоснабжение) | |
| Развитие местного дорожного хозяйства | |
| Развитие общественного транспорта | |
| Благоустройство города, качество городской застройки и планирования, развитие общественных пространств | |
| Развитие культуры и сферы досуга, физической культуры и спорта | |
| Эффективность финансово-бюджетной политики | |
| Эффективность развития и поддержки местного бизнеса |
В исследовании принимали участие 189 экспертов – специалистов по городской и региональной политике из Москвы и регионов: политологи, экономисты, политтехнологи, урбанисты, публицисты, общественные деятели (список см. в Приложении).
Итоговый рейтинг эффективности[6]
| Городской округ
|
Руководство города | ОБЩИЙ ИТОГ
|
ПОЛИТИКО-УПРАВЛЕН-ЧЕСКИЙ БЛОК
|
СОЦИАЛЬНО-ЭКОНОМИ-ЧЕСКИЙ БЛОК
|
|||
| БАЛЛ | РАНГ | БАЛЛ | РАНГ | БАЛЛ | РАНГ | ||
| Казань
|
И.Метшин (глава города – председатель городской думы),
Р.Гафаров (глава администрации) |
0,720
(0,671) |
1
(2) |
0,782
(0,716) |
2
(2) |
0,658
(0,626) |
4
(3) |
| Тюмень
|
М.Афанасьев (глава города – глава администрации) | 0,703
(0,675)
|
2
(1) |
0,732
(0,689) |
3
(4) |
0,674
(0,661) |
2
(1) |
| Грозный
|
З.Хизриев (глава города – председатель совета депутатов),
Х.-М.Кадыров (мэр – глава администрации) |
0,700
(0,656) |
3
(3) |
0,850
(0,742) |
1
(1) |
0,550
(0,571) |
19
(11) |
| Ханты-Мансийск
|
М.Ряшин (глава города – глава администрации) | 0,670
(0,607) |
4
(7) |
0,628
(0,593) |
21
(39) |
0,712
(0,620) |
1
(4) |
| Ростов-на-Дону
|
А.Скрябин (глава города — глава администрации, ранее З.Неярохина – глава города и председатель городской думы, А.Логвиненко – глава администрации)[7] | 0,635
(0,614) |
5
(5) |
0,699
(0,676) |
6
(7) |
0,570
(0,551) |
9
(18) |
| Челябинск
|
А.Лошкин (глава города – глава администрации) | 0,629
(0,608) |
6
(6) |
0,706
(0,682) |
4
(6) |
0,552
(0,534) |
17
(23) |
| Калуга
|
Д.Денисов (глава города – глава администрации, ранее Ю.Моисеев — глава города и председатель городской думы, Д.Денисов – глава администрации) | 0,623
(0,587) |
7
(10) |
0,702
(0,649) |
5
(12) |
0,544
(0,525) |
22
(32) |
| Южно-Сахалинск
|
С.Надсадин (глава города – глава администрации) | 0,613
(0,582) |
8
(13) |
0,629
(0,605) |
20
(33) |
0,598
(0,560) |
6
(14) |
| Салехард
|
А.Титовский (глава города — глава администрации) |
0,612 (0,648)
|
9
(4) |
0,667
(0,700) |
9
(3) |
0,558
(0,597) |
14
(6) |
| Сургут
|
М.Слепов (глава города – глава администрации) | 0,589
(0,584) |
10
(12) |
0,598
(0,594) |
40
(38) |
0,579
(0,574) |
7
(8) |
| Набережные Челны
|
Н.Магдеев (глава города – председатель городского совета),
Ф.Салахов (глава администрации) |
0,587
(0,595) |
11
(9) |
0,692
(0,687) |
7
(5) |
0,483
(0,503) |
67
(54) |
| Уфа
|
М.Васимов (глава города – председатель городского совета),
Р.Мавлиев (глава администрации) |
0,586
(0,577) |
12
(17) |
0,612
(0,601) |
33
(37) |
0,561
(0,554) |
13
(17) |
| Белгород
|
В.Демидов (глава города – глава администрации) | 0,585
(0,586) |
13
(11) |
0,655
(0,651) |
11
(10) |
0,514
(0,521) |
37
(35) |
| Сочи
|
А.Прошунин (глава города – глава администрации) | 0,584
(0,600) |
14
(8) |
0,625
(0,669) |
24
(9) |
0,543
(0,531) |
23
(26) |
| Донецк
|
А.Кулемзин (глава города – глава администрации) | 0,583
(0,580) |
15
(15) |
0,617
(0,588) |
31
(43) |
0,549
(0,572) |
20
(10) |
| Курск
|
Е.Маслов (глава города – глава администрации, ранее И.Куцак) | 0,582
(0,572) |
16
(24) |
0,663
(0,640) |
10
(14) |
0,501
(0,503) |
50
(53) |
| Краснодар
|
Е.Наумов (глава города – глава администрации) | 0,582
(0,579) |
17
(16) |
0,642
(0,643) |
14
(13) |
0,523
(0,515) |
32
(40) |
| Самара
|
И.Носков (глава города – глава администрации) | 0,582
(0,581) |
18
(14) |
0,611
(0,623) |
34
(21) |
0,552
(0,538) |
16
(22) |
| Луганск
|
Я.Пащенко (глава города – глава администрации) | 0,580
(0,577) |
19
(20) |
0,535
(0,527) |
81
(84) |
0,626
(0,626) |
5
(2) |
| Мариуполь
|
А.Кольцов (глава города – глава администрации, ранее О.Моргун) | 0,580
(0,576) |
20
(21) |
0,598
(0,583) |
41
(46) |
0,562
(0,570) |
12
(12) |
| Череповец
|
Р.Маслов (глава города – глава администрации, ранее М.Сальников – глава города и председатель городской думы, В.Германов – глава администрации) | 0,578
(0,572) |
21
(25) |
0,627
(0,618) |
22
(25) |
0,528
(0,525) |
29
(31) |
| Новокузнецк
|
Д.Ильин (глава города – глава администрации) | 0,577
(0,577) |
22
(18) |
0,675
(0,674) |
8
(8) |
0,480
(0,480) |
69
(72) |
| Чебоксары
|
С.Трофимов (глава города — глава администрации, ранее В.Доброхотов) | 0,577
(0,577) |
23
(19) |
0,622
(0,632) |
26
(15) |
0,531
(0,522) |
28
(34) |
| Майкоп
|
Г.Митрофанов (глава города – глава администрации) | 0,575
(0,569) |
24
(28) |
0,650
(0,624) |
12
(20) |
0,500
(0,513) |
52
(43) |
| Великий Новгород
|
А.Розбаум (глава города – глава администрации) | 0,574
(0,574) |
25
(22) |
0,607
(0,590) |
35
(41) |
0,540
(0,565) |
25
(15) |
| Владикавказ
|
В.Мильдзихов (глава города – глава администрации) | 0,573
(0,569) |
26
(29) |
0,645
(0,650) |
13
(11) |
0,501
(0,487) |
51
(65) |
| Орел
|
Ю.Парахин (глава города – глава администрации) | 0,569
(0,573) |
27
(23) |
0,585
(0,590) |
47
(40) |
0,552
(0,556) |
15
(16) |
| Воронеж
|
С.Петрин (глава города – глава администрации) | 0,569
(0,561) |
28
(38) |
0,630
(0,619) |
19
(23) |
0,507
(0,504) |
43
(51) |
| Кемерово
|
Д.Анисимов (глава города – глава администрации) | 0,567
(0,571) |
29
(26) |
0,622
(0,626) |
25
(19) |
0,511
(0,516) |
40
(39) |
| Липецк
|
Р.Ченцов (глава города – глава администрации) | 0,566
(0,569) |
30
(27) |
0,582
(0,558) |
51
(67) |
0,551
(0,580) |
18
(7) |
| Калининград
|
О.Аминов (глава города – глава городского совета),
Е.Дятлова (глава администрации) |
0,566
(0,567) |
31
(33) |
0,621
(0,611) |
27
(30) |
0,511
(0,522) |
41
(33) |
| Магнитогорск
|
С.Бердников (глава города – глава администрации) | 0,565
(0,563) |
32
(36) |
0,640
(0,628) |
15
(17) |
0,490
(0,498) |
58
(57) |
| Нижний Тагил
|
В.Пинаев (глава города – глава администрации) | 0,565
(0,561) |
33
(40) |
0,631
(0,616) |
18
(26) |
0,498
(0,505) |
55
(50) |
| Мелитополь
|
С.Золотарев (глава города – глава администрации, ранее Г.Данильченко) | 0,564
(0,561) |
34
(39) |
0,564
(0,575) |
63
(53) |
0,564
(0,547) |
11
(19) |
| Саранск
|
В.Быков (глава города – глава администрации) | 0,564
(0,567) |
35
(31) |
0,616
(0,614) |
32
(28) |
0,512
(0,520) |
39
(36) |
| Симферополь
|
В.Агеев (глава города – председатель городского совета),
М.Афанасьев (глава администрации) |
0,562
(0,558) |
36
(41) |
0,619
(0,609) |
29
(32) |
0,505
(0,507) |
46
(48) |
| Анадырь
|
С.Спицын (глава города – глава администрации, избран на прямых выборах) | 0,560
(0,565) |
37
(34) |
0,556
(0,568) |
65
(61) |
0,565
(0,563) |
10
(13) |
| Томск
|
Д.Махиня (глава города – глава администрации) | 0,560
(0,567) |
38
(32) |
0,618
(0,618) |
30
(24) |
0,502
(0,515) |
49
(41) |
| Екатеринбург
|
А.Орлов (глава города — глава администрации) | 0,560
(0,553) |
39
(46) |
0,586
(0,578) |
46
(51) |
0,534
(0,529) |
26
(28) |
| Владимир
|
В.Гарев (и.о. главы города — главы администрации, ранее Д.Наумов) | 0,559
(0,568) |
40
(30) |
0,585
(0,589) |
48
(42) |
0,533
(0,547) |
27
(20) |
| Красноярск
|
Р.Одинцов (и.о. главы города – главы администрации, ранее В.Логинов) | 0,559
(0,563) |
41
(37) |
0,571
(0,580) |
58
(48) |
0,547
(0,546) |
21
(21) |
| Вологда
|
С.Жестянников (глава города – глава администрации, ранее Ю.Сапожников – глава города и председатель городской думы, А.Накрошаев – глава администрации) | 0,556
(0,563) |
42
(35) |
0,625
(0,626) |
23
(18) |
0,487
(0,500) |
61
(55) |
| Тверь
|
А.Огоньков (глава города – глава администрации) | 0,555
(0,545) |
43
(54) |
0,635
(0,621) |
16
(22) |
0,475
(0,469) |
70
(85) |
| Нижний Новгород
|
Ю.Шалабаев (глава города – глава администрации) | 0,555
(0,550) |
44
(49) |
0,567
(0,572) |
60
(57) |
0,542
(0,528) |
24
(29) |
| Благовещенск
|
О.Имамеев (глава города – глава администрации) | 0,554
(0,555) |
45
(44) |
0,621
(0,615) |
28
(27) |
0,487
(0,496) |
62
(59) |
| Якутск
|
Е.Григорьев (глава города – глава администрации, избран на прямых выборах) | 0,553
(0,554) |
46
(45) |
0,607
(0,604) |
36
(35) |
0,500
(0,505) |
53
(49) |
| Тула
|
А.Эрк (глава города – председатель городской думы),
И.Беспалов (глава администрации) |
0,553
(0,557) |
47
(43) |
0,583
(0,581) |
50
(47) |
0,524
(0,533) |
31
(24) |
| Черкесск
|
В.Дедук (глава города – председатель городской думы),
А.Баскаев (глава администрации) |
0,552
(0,547) |
48
(53) |
0,597
(0,584) |
44
(45) |
0,506
(0,509) |
45
(47) |
| Псков
|
Б.Елкин (глава города – глава администрации) | 0,550
(0,552) |
49
(47) |
0,597
(0,604) |
43
(34) |
0,503
(0,500) |
48
(56) |
| Геническ
|
Ю.Семякина (глава муниципального округа – глава администрации, ранее врио) | 0,550
(0,543) |
50
(57) |
0,431
(0,486) |
98
(93) |
0,668
(0,600) |
3
(5) |
| Петропавловск-Камчатский
|
Е.Беляев (глава города – глава администрации) | 0,548
(0,550) |
51
(51) |
0,575
(0,580) |
54
(49) |
0,520
(0,520) |
34
(38) |
| Балашиха
|
С.Юров (глава города – глава администрации) | 0,546
(0,542) |
52
(58) |
0,572
(0,573) |
57
(56) |
0,520
(0,511) |
35
(46) |
| Пенза
|
О.Денисов (глава города – глава администрации, ранее врио) | 0,546
(0,557) |
53
(42) |
0,632
(0,629) |
17
(16) |
0,459
(0,486) |
84
(66) |
| Нальчик
|
А.Заруцкий (глава города – председатель совета местного самоуправления, ранее И.Муравьев),
Т.Ахохов (глава администрации) |
0,545
(0,551) |
54
(48) |
0,606
(0,613) |
37
(29) |
0,485
(0,488) |
64
(64) |
| Иркутск
|
Р.Болотов (глава города – глава администрации) | 0,544
(0,541) |
55
(59) |
0,566
(0,557) |
61
(68) |
0,521
(0,526) |
33
(30) |
| Ставрополь
|
И.Ульянченко (глава города – глава администрации) | 0,544
(0,544) |
56
(56) |
0,593
(0,573) |
45
(55) |
0,494
(0,514) |
57
(42) |
| Брянск
|
М.Дбар (глава города – председатель городского совета),
А.Макаров (глава администрации) |
0,536
(0,531) |
57
(63) |
0,599
(0,578) |
39
(52) |
0,473
(0,484) |
73
(70) |
| Тольятти
|
И.Сухих (глава города – глава администрации, ранее врио) | 0,535
(0,544) |
58
(55) |
0,566
(0,558) |
62
(66) |
0,503
(0,530) |
47
(27) |
| Макеевка
|
В.Ключаров (глава города – глава администрации) | 0,535
(0,550) |
59
(50) |
0,495
(0,528) |
95
(83) |
0,574
(0,572) |
8
(9) |
| Саратов
|
М.Исаев (глава города – глава администрации, ранее и.о. П.Сурков) | 0,533
(0,529) |
60
(65) |
0,597
(0,586) |
42
(44) |
0,469
(0,472) |
76
(80) |
| Кострома
|
А.Смирнов (глава города – глава администрации, ранее Ю.Журин – глава города – председатель городской думы и А.Смирнов – глава администрации) | 0,532
(0,549) |
61
(52) |
0,600
(0,609) |
38
(31) |
0,464
(0,489) |
79
(62) |
| Магадан
|
Л.Поликанова (глава города – глава администрации, ранее Ю.Гришан) | 0,530
(0,531) |
62
(62) |
0,572
(0,551) |
56
(70) |
0,488
(0,511) |
60
(45) |
| Волгоград
|
В.Марченко (глава города – глава администрации) | 0,530
(0,526) |
63
(67) |
0,575
(0,568) |
53
(60) |
0,484
(0,483) |
66
(71) |
| Волжский
|
И.Воронин (глава города – глава администрации) | 0,528
(0,527) |
64
(66) |
0,550
(0,562) |
67
(64) |
0,506
(0,492) |
44
(61) |
| Мурманск
|
И.Лебедев (глава города – глава администрации, ранее Ю.Сердечкин) | 0,527
(0,530) |
65
(64) |
0,539
(0,540) |
75
(74) |
0,515
(0,520) |
36
(37) |
| Курган
|
А.Науменко (глава города – глава администрации, ранее врио) | 0,526
(0,516) |
66
(73) |
0,527
(0,501) |
85
(91) |
0,525
(0,531) |
30
(25) |
| Подольск
|
Г.Артамонов (глава города – глава администрации) | 0,522
(0,517) |
67
(71) |
0,536
(0,531) |
79
(81) |
0,509
(0,504) |
42
(52) |
| Петрозаводск
|
И.Колыхматова (глава города – глава администрации) | 0,521
(0,526) |
68
(68) |
0,578
(0,579) |
52
(50) |
0,464
(0,471) |
80
(81) |
| Абакан
|
А.Лёмин (глава города – глава администрации, избран на прямых выборах) | 0,521
(0,534) |
69
(61) |
0,558
(0,571) |
64
(58) |
0,484
(0,498) |
65
(58) |
| Рязань
|
Т.Панфилова (глава города – председатель городской думы),
Б.Ясинский (глава администрации, ранее В.Артёмов) |
0,518
(0,525) |
70
(69) |
0,574
(0,573) |
55
(54) |
0,463
(0,477) |
82
(73) |
| Барнаул
|
В.Франк (глава города – глава администрации) | 0,518
(0,515) |
71
(74) |
0,538
(0,540) |
77
(73) |
0,499
(0,489) |
54
(63) |
| Ижевск
|
Д.Чистяков (глава города – глава администрации) | 0,518
(0,502) |
72
(83) |
0,551
(0,531) |
66
(80) |
0,486
(0,473) |
63
(79) |
| Смоленск
|
А.Новиков (глава города – глава администрации) | 0,518
(0,517) |
73
(72) |
0,571
(0,564) |
59
(62) |
0,465
(0,470) |
77
(84) |
| Иваново
|
М.Комиссаров (и.о. главы города – главы администрации, ранее А.Шаботинский) | 0,513
(0,539) |
74
(60) |
0,585
(0,601) |
49
(36) |
0,442
(0,476) |
93
(74) |
| Тамбов
|
М.Косенков (глава города – глава администрации) | 0,512
(0,503) |
75
(82) |
0,545
(0,532) |
72
(79) |
0,480
(0,474) |
68
(77) |
| Пермь
|
Э.Соснин (глава города – глава администрации) | 0,509
(0,518) |
76
(70) |
0,505
(0,523) |
93
(86) |
0,514
(0,512) |
38
(44) |
| Киров
|
Е.Ковалева (глава города – председатель городской думы),
В.Симаков (глава администрации) |
0,509
(0,508) |
77
(78) |
0,545
(0,533) |
71
(78) |
0,473
(0,484) |
72
(68) |
| Хабаровск
|
С.Кравчук (глава города – глава администрации, избран на прямых выборах) | 0,508
(0,509) |
78
(77) |
0,517
(0,535) |
89
(76) |
0,498
(0,484) |
56
(69) |
| Сыктывкар
|
М.Мартышин (глава города – глава администрации, ранее В.Голдин) | 0,507
(0,498) |
79
(87) |
0,526
(0,500) |
86
(92) |
0,489
(0,496) |
59
(60) |
| Горно-Алтайск
|
О.Сафронова (глава города – глава администрации) | 0,505
(0,502) |
80
(84) |
0,537
(0,530) |
78
(82) |
0,474
(0,474) |
71
(76) |
| Астрахань
|
И.Редькин (глава города — глава администрации) | 0,504
(0,514) |
81
(75) |
0,543
(0,559) |
74
(65) |
0,464
(0,469) |
78
(86) |
| Ярославль
|
А.Молчанов (глава города – глава администрации) | 0,502
(0,495) |
82
(88) |
0,532
(0,514) |
83
(88) |
0,472
(0,475) |
74
(75) |
| Ульяновск
|
А.Болдакин (глава города – глава администрации) | 0,502
(0,506) |
83
(79) |
0,533
(0,526) |
82
(85) |
0,471
(0,486) |
75
(67) |
| Нарьян-Мар
|
О.Белак (глава города – глава администрации) | 0,501
(0,504) |
84
(80) |
0,548
(0,551) |
68
(69) |
0,455
(0,457) |
86
(92) |
| Владивосток
|
К.Шестаков (глава города – глава администрации) | 0,500
(0,514) |
85
(76) |
0,538
(0,570) |
76
(59) |
0,461
(0,457) |
83
(91) |
| Йошкар-Ола
|
Е.Кузьмин (глава города – председатель собрания депутатов, ранее Л.Покровский),
А.Трудинов (глава администрации) |
0,498
(0,490) |
86
(91) |
0,544
(0,547) |
73
(72) |
0,452
(0,433) |
88
(94) |
| Элиста
|
М.Сорокин (глава города – председатель городского собрания),
А.Лиджиков (глава администрации) |
0,495
(0,502) |
87
(85) |
0,547
(0,549) |
70
(71) |
0,444
(0,455) |
92
(93) |
| Махачкала
|
Д.Салавов (глава города – глава администрации, ранее Ю.Умавов) | 0,492
(0,375) |
88
(97) |
0,535
(0,287) |
80
(98) |
0,450
(0,463) |
90
(88) |
| Новосибирск
|
М.Кудрявцев (глава города – глава администрации) | 0,491
(0,504) |
89
(81) |
0,530
(0,537) |
84
(75) |
0,452
(0,471) |
89
(82) |
| Кызыл
|
И.Казанцева (глава города – председатель хурала представителей),
В.Судер-оол (и.о. главы администрации, ранее К.Сагаан-оол) |
0,490
(0,487) |
90
(92) |
0,547
(0,562) |
69
(63) |
0,433
(0,411) |
96
(96) |
| Магас
|
М.Темурзиев (и.о. главы города – главы администрации, ранее З.Орцханов) | 0,489
(0,483) |
91
(93) |
0,521
(0,504) |
87
(90) |
0,457
(0,461) |
85
(89) |
| Омск
|
С.Шелест (глава города – глава администрации) | 0,487
(0,494) |
92
(89) |
0,510
(0,517) |
91
(87) |
0,464
(0,471) |
81
(83) |
| Улан-Удэ
|
И.Шутенков (глава города – глава администрации) | 0,485
(0,375) |
93
(98) |
0,515
(0,361) |
90
(97) |
0,454
(0,389) |
87
(97) |
| Биробиджан
|
А.Кузьмин (глава города – глава администрации, ранее М.Семёнов) | 0,484
(0,393) |
94
(96) |
0,520
(0,440) |
88
(95) |
0,448
(0,347) |
91
(98) |
| Назрань
|
У.Евлоев (глава города – глава администрации) | 0,470
(0,454) |
95
(94) |
0,510
(0,481) |
92
(94) |
0,429
(0,426) |
97
(95) |
| Чита
|
И.Щеглова (глава города – глава администрации) | 0,469
(0,501) |
96
(86) |
0,499
(0,534) |
94
(77) |
0,439
(0,468) |
94
(87) |
| Оренбург
|
А.Юмадилов (и.о. главы города – главы администрации, ранее С.Салмин) | 0,449
(0,490) |
97
(90) |
0,464
(0,506) |
97
(89) |
0,435
(0,474) |
95
(78) |
| Архангельск
|
Д.Морев (глава города – глава администрации) | 0,434
(0,447) |
98
(95) |
0,478
(0,436) |
96
(96) |
0,391
(0,458) |
98
(90) |
Приложение
Список экспертов, принимавших участие в исследовании
| № | Эксперт | Статус |
| 1 | Август Алена | Политтехнолог, Москва |
| 2 | Авдеев Юрий | Ведущий научный сотрудник Тихоокеанского института географии ДВО РАН, кандидат экономических наук, Приморский край |
| 3 | Аверина Светлана | Политтехнолог, председатель «Гильдии политологов и политтехнологов», Тульская область |
| 4 | Александров Артем | Депутат Тамбовской городской думы, политолог, Тамбовская область |
| 5 | Алексеев Игорь | Политтехнолог, Мурманская область |
| 6 | Амелин Николай | Председатель совета директоров издательского дома «Херст Шкулев — ИнтерМедиаГруп Владимир», Владимирская область |
| 7 | Андони Александр | Политолог, Приморский край |
| 8 | Андреева Любовь | Доцент кафедры теории и практики управления Новгородского филиала РАНХиГС, Новгородская область |
| 9 | Арьков Виталий | Представитель Агентства политических и экономических коммуникаций (АПЭК), Нижнее Поволжье, Северный Кавказ |
| 10 | Бабаян Юрий | Директор информационно-аналитического портала «Обозреватель.Врн», Воронежская область |
| 11 | Байметов Владимир | Политолог, Удмуртская Республика |
| 12 | Балицкий Александр | Политолог, Удмуртская Республика |
| 13 | Барахоева Нина | Представитель Агентства политических и экономических коммуникаций (АПЭК), Республика Ингушетия |
| 14 | Баринова Марина | Общественный деятель, Приморский край |
| 15 | Батурин Денис | Член Общественной палаты Республики Крым, политконсультант, Республика Крым |
| 16 | Бахлов Игорь | Заведующий кафедрой всеобщей истории и мирового политического процесса Мордовского государственного университета им. Н. П. Огарева, доктор политических наук, профессор, Республика Мордовия |
| 17 | Беляков Вячеслав | Политический консультант, Приморский край |
| 18 | Бирюков Сергей | Профессор Кемеровского государственного университета, доктор политических наук, Кемеровская область |
| 19 | Бодров Анатолий | Политолог, кандидат политических наук, Пензенская область |
| 20 | Болибок (Луцина) Татьяна | Доцент Удмуртского государственного университета, кандидат исторических наук, Удмуртская Республика |
| 21 | Бондаренко Олег | Директор Фонда прогрессивной политики, Москва |
| 22 | Боровов Михаил | Директор компании «Архангельск-ИНФО», Архангельская область |
| 23 | Борцов Дмитрий | Директор Чувашской Республиканской общественной организации социологов «СОЦИС-М», Республика Чувашия |
| 24 | Бурикова Инга | Кандидат психологических наук, генеральный директор «ЦСП «Белый Дом», доцент СЗИУ РАНХиГС, Санкт-Петербург |
| 25 | Бурко Виктор | Доцент кафедры социологии и политологии Пермского национального исследовательского политехнического университета (ПНИПУ), Пермский край |
| 26 | Валеев Шамиль | Депутат Госсобрания – Курултая Республики Башкортостан, Республика Башкортостан |
| 27 | Валеева Светлана | Главный редактор общественно-политического портала «Медиакорсеть», Республика Башкортостан |
| 28 | Верхотуров Михаил | Политолог, блогер, Республика Хакасия |
| 29 | Воробьев Сергей | Политолог, кандидат политических наук, Ставропольский край |
| 30 | Габдрафиков Ильдар | Старший научный сотрудник Института этнологических исследований УНЦ РАН, региональный эксперт Сети этнологического мониторинга и раннего предупреждения конфликтов, Республика Башкортостан |
| 31 | Гавычева Александра | Директор по медиа-проектам Агентства политических и экономических коммуникаций (АПЭК), Москва |
| 32 | Гагарин Анатолий | Руководитель Института системных политических исследований и гуманитарных проектов, куратор Экспертного клуба Екатеринбурга, доктор философских наук, Свердловская область |
| 33 | Гандеев Александр | Политический аналитик, Москва |
| 34 | Гереев Руслан | Директор Центра этноконфессиональных исследований Северного Кавказа, Республика Дагестан |
| 35 | Голубев Евгений | Генеральный директор социологического центра «Хи-Квадрат», главный редактор портала «Клуб социологов», Ярославская область |
| 36 | Горбачева Ирина | Главный редактор «Первого пензенского портала», политический обозреватель, Пензенская область |
| 37 | Городишенин Сергей | Руководитель Вологодского РО «Гражданский комитет России», Вологодская область |
| 38 | Гращенков Илья | Директор Центра развития региональной политики (ЦРРП), Москва |
| 39 | Гребенко Егор | Социолог, Ярославская область |
| 40 | Громский Алексей | Ведущий аналитик Агентства политических и экономических коммуникаций (АПЭК), Новгородская область |
| 41 | Гудов Андрей | Журналист, Кировская область |
| 42 | Данилин Павел | Генеральный директор Центра политического анализа, Москва |
| 43 | Даченков Игорь | Генеральный директор Агентства массовых коммуникаций «Регион Медиа», Москва |
| 44 | Денисова Татьяна | Политолог, журналист, Оренбургская область |
| 45 | Дергунова Нина | Политолог, доктор политических наук, профессор, Ульяновская область |
| 46 | Джантеева Джульетта | Заведующая отделом социально-политических исследований Карачаево-Черкесского института гуманитарных исследований, кандидат исторических наук, Карачаево-Черкесская Республика |
| 47 | Диденко Алексей | Председатель комитета Государственной думы РФ по региональной политике, Москва |
| 48 | Довбня Дмитрий | Эксперт Общественной палаты Челябинской области по развитию территорий, заместитель председателя комитета по содействию развития территории для внутреннего туризма ЧРО «Опора России», Челябинская область |
| 49 | Доильницына Елена | Журналист, Архангельская область |
| 50 | Дунаев Дмитрий | Политолог, Архангельская область |
| 51 | Дякина Оксана | Политолог, Московская область |
| 52 | Евдокимов Николай | Начальник отдела политических исследований Научно-исследовательского центра проблем управления и государственной службы Башкирской академии государственной службы и управления при главе Республики Башкортостан, кандидат политических наук, доцент, Республика Башкортостан |
| 53 | Елисеева Наталия | Политолог, политический аналитик, Москва |
| 54 | Ефремов Дмитрий | Политолог, Республика Крым |
| 55 | Желтов Павел | Политолог, медиа-менеджер, Санкт-Петербург |
| 56 | Жестовская Алина | Политолог, Москва |
| 57 | Журавлев Дмитрий | Генеральный директор Института региональных проблем, кандидат политических наук, Москва |
| 58 | Зверев Андрей | Доцент кафедры социологии и психологии политики факультета политологии Московского государственного университета им. М.В. Ломоносова, кандидат политических наук, доцент, Москва |
| 59 | Золотарев Виктор | Политический эксперт, Республика Бурятия |
| 60 | Зубанов Сергей | Представитель Агентства политических и экономических коммуникаций (АПЭК), Ямало-Ненецкий автономный округ |
| 61 | Зуев Сергей | Представитель Агентства политических и экономических коммуникаций (АПЭК), Псковская область |
| 62 | Игнатовский Ярослав | Генеральный директор аналитического центра «Политген», Москва |
| 63 | Калачев Константин | Руководитель «Политической экспертной группы», Москва |
| 64 | Калмантаев Булат | Заместитель генерального директора ГУП РИА «Оренбуржье», Оренбургская область |
| 65 | Каминская Татьяна | Заведующая кафедрой журналистики НовГУ, главный редактор журнала «Ученые записки Новгородского государственного университета», доктор филологических наук, доцент, Новгородская область |
| 66 | Качин Валерий | Председатель союза журналистов Кузбасса, Кемеровская область |
| 67 | Каштанов Олег | Сопредседатель регионального отделения ОНФ, член Общественной палаты Республики Мордовия, кандидат исторических наук, Республика Мордовия |
| 68 | Кащенко Алексей | Заместитель главного редактора сетевого издания «Ясно», Краснодарский край |
| 69 | Кирьянов Артем | Заместитель председателя комитета Государственной думы РФ по экономической политике, Москва |
| 70 | Кишаковская Ольга | Политолог, Приморский край |
| 71 | Климанов Владимир | Директор Центра региональной политики РАНХиГС, директор Института реформирования общественных финансов, доктор экономических наук, Москва |
| 72 | Князев Алексей | Руководитель исследовательских проектов Консультационного центра «Департамент политики», Челябинская область |
| 73 | Кобыскан Александр | Старший научный сотрудник Института стратегических исследований государственного бюджетного научного учреждения «Академия наук Республики Башкортостан», Республика Башкортостан |
| 74 | Козомазов Владимир | Политолог, Липецкая область |
| 75 | Кольба Алексей | Доцент кафедры государственной политики и государственного управления Кубанского государственного университета, доктор политических наук, Краснодарский край |
| 76 | Кондратьев Игорь | Политтехнолог, Новгородская область |
| 77 | Корчагин Андрей | Руководитель Липецкого центра изучения общественного мнения, Липецкая область |
| 78 | Косов Геннадий | Руководитель филиала Фонда развития гражданского общества в г. Ставрополь, Ставропольский край |
| 79 | Костылев Алексей | Главный редактор Информационно-аналитического портала «Ясно», Краснодарский край |
| 80 | Котляр Алексей | Основатель и редактор Telegram-канала «Ивановская область: треш и политика», Ивановская область |
| 81 | Крайнова Кира | Политолог, кандидат политических наук, Ярославская область |
| 82 | Краюхин Дмитрий | Главный редактор Информационно-аналитического правозащитного агентства «ЦентрРус», Орловская область |
| 83 | Кудинов Артем | Журналист, Алтайский край |
| 84 | Кудрявин Игорь | Политолог, Калининградская область |
| 85 | Кузьминых Екатерина | Журналист, Красноярский край |
| 86 | Кузьминых Константин | Эксперт Агентства стратегических инициатив, доцент кафедры ТГРС УГНТУ, кандидат экономических наук, Республика Башкортостан |
| 87 | Кучеров Андрей | Председатель Союза молодых политологов, Республика Карачаево-Черкесия |
| 88 | Лавров Андрей | Представитель Агентства политических и экономических коммуникаций (АПЭК), Челябинская область |
| 89 | Латыпов Ильдар | Профессор кафедры истории, теории и практики социальных коммуникаций УдГУ, доктор философских наук, Удмуртская Республика |
| 90 | Леонов Сергей | Заместитель председателя комитета Государственной думы РФ по охране здоровья, Москва |
| 91 | Липатникова Марина | Член Общественной палаты Вологодской области, Вологодская область |
| 92 | Листратов Константин | Директор Центра общественно-политических проектов, политконсультант, кандидат политических наук, Москва |
| 93 | Лукин Константин | Руководитель Алтайского центра политического консалтинга, политтехнолог, Республика Алтай |
| 94 | Лыков Николай | Главный редактор ИА «Взгляд-инфо», Саратовская область |
| 95 | Магомедов Магомед | Заместитель главного редактора газеты «Черновик», Республика Дагестан |
| 96 | Макаров Сергей | Политолог, Сахалинская область |
| 97 | Маклаков Евгений | Политтехнолог, Челябинская область |
| 98 | Максимов Андрей | Председатель комиссии Общественной палаты РФ по территориальному развитию и местному самоуправлению, директор Центра территориальных изменений и городского развития РАНХиГС, кандидат юридических наук, Москва |
| 99 | Малых Ярослав | Политолог, Волгоградская область |
| 100 | Малышкина Наталья | Доцент кафедры государственного и муниципального управления РАНХиГС, кандидат философских наук, Республика Чувашия |
| 101 | Мамонова Виктория | Ведущий аналитик Агентства политических и экономических коммуникаций (АПЭК), Москва |
| 102 | Мартынов Михаил | Руководитель регионального отделения Российского общества политологов, заведующий лабораторией социологических и правовых исследований Сургутского государственного университета, доцент, ХМАО |
| 103 | Матвейчев Олег | Заместитель председателя комитета Государственной думы ФС РФ по информационной политике, информационным технологиям и связи, Москва |
| 104 | Мезюхо Иван | Политолог, председатель Крымской региональной общественной организации «Центр политического просвещения», Республика Крым |
| 105 | Мельников Александр | Политолог, блогер, Челябинская область |
| 106 | Мельцер Михаил | Председатель Тюменского областного совета ВОИР, президент фонда поддержки научных исследований «Наука за продление жизни», Тюменская область |
| 107 | Милешкина Юлия | Политтехнолог, Санкт-Петербург |
| 108 | Митрофанов Евгений | Президент Сибирского правового центра защиты прав потребителей, Новосибирская область |
| 109 | Моисеева Юлия | Главный редактор SmolDaily.ru, Смоленская область |
| 110 | Мокиевский Евгений | Начальник службы информации МАУ центра «Вологда-Портал», главный редактор сайта и газеты «Вологда.РФ», Вологодская область |
| 111 | Морозов Алексей | Политический обозреватель, Архангельская область |
| 112 | Мусинский Алексей | Председатель Молодежного правительства, руководитель клуба исторической реконструкции «Белозерская дружина», Вологодская область |
| 113 | Мухаметов Руслан | Представитель Агентства политических и экономических коммуникаций (АПЭК), Свердловская область |
| 114 | Назаров Владимир | Председатель Союза журналистов, Республика Мордовия |
| 115 | Наливайко Павел | Политолог, Приморский край |
| 116 | Нейжмаков Михаил | Директор по аналитическим проектам Агентства политических и экономических коммуникаций (АПЭК), Москва |
| 117 | Нилов Ярослав | Председатель комитета Государственной думы ФС РФ по социальной политике, Москва |
| 118 | Овсянников Павел | Корреспондент экспертного портала «УралПолит», Курганская область |
| 119 | Овсянникова Юлия | Главный редактор РИА «Верхневолжье», Тверская область |
| 120 | Окорокова Наталья | Заместитель главного редактора информационно-аналитического агентства «Полит74», Челябинская область |
| 121 | Олейник Дмитрий | Главный редактор интернет-газеты «Глас народа», заместитель председателя Общественной палаты Саратова, Саратовская область |
| 122 | Омельченко Андрей | Член правления регионального отделения Союза журналистов России, Калининградская область |
| 123 | Орлов Дмитрий | Генеральный директор Агентства политических и экономических коммуникаций (АПЭК), кандидат исторических наук, Москва |
| 124 | Орлова Мария | Главный редактор тверского областного еженедельника «Караван ярмарка», Тверская область |
| 125 | Паймушкин Илья | Руководитель агентства «Социальные коммуникации», ХМАО |
| 126 | Паштов Борис | Председатель комитета парламента КБР по культуре, развитию институтов гражданского общества и СМИ, Республика Кабардино-Балкария |
| 127 | Пименов Денис | Руководитель агентства бизнес-консалтинга «Консул», кандидат технических наук, Воронежская область |
| 128 | Пирогов Александр | Политолог, Свердловская область |
| 129 | Прохоров Валерий | Заместитель директора Центра ПРИСП, Москва |
| 130 | Репневский Андрей | Профессор кафедры всеобщей истории Высшей школы социально-гуманитарных наук и международной коммуникации САФУ, доктор исторических наук, профессор, Архангельская область |
| 131 | Реутов Евгений | Политолог, кандидат социологических наук, Белгородская область |
| 132 | Рябцовский Георгий | Старший преподаватель кафедры математики информационных технологий РАНХиГС, Брянская область |
| 133 | Рязанцев Андрей | Политолог, Рязанская область |
| 134 | Савенков Роман | Доцент кафедры социологии и политологии Воронежского государственного университета, кандидат политических наук, Воронежская область |
| 135 | Сайгин Александр | Руководитель коммуникативного агентства «Импульс», политолог, Волгоградская область |
| 136 | Салин Павел | Политолог, кандидат юридических наук, Москва |
| 137 | Самиев Павел | Председатель комитета организации «Опора России» по финансовым рынкам, Москва |
| 138 | Самодуров Вадим | Руководитель агентства стратегических коммуникаций, политолог, Москва |
| 139 | Семенов Евгений | Руководитель Нижегородского филиала Фонда развития гражданского общества, кандидат политических наук, Нижегородская область |
| 140 | Сергеева Екатерина | Директор Алтайского центра политического консалтинга, Алтайский край |
| 141 | Серенко Андрей | Координатор Клуба экспертов Нижнего Поволжья, Волгоградская область |
| 142 | Сипров Вадим | Политолог, генеральный директор «Институт коммуникационного менеджмента», Самарская область |
| 143 | Скороходова Ольга | Преподаватель Поволжского института им. Столыпина РАНХиГС при Президенте РФ, Саратовская область |
| 144 | Слатинов Владимир | Заведующий кафедрой государственного и муниципального управления Курского государственного университета, доктор политических наук, Курская область |
| 145 | Слинько Александр | Заведующий кафедрой политологии и политического управления Воронежского филиала РАНХиГС при Президенте РФ, доктор политических наук, Воронежская область |
| 146 | Солонина Галина | Политический обозреватель, Иркутская область |
| 147 | Солонников Дмитрий | Политолог, Санкт-Петербург |
| 148 | Становой Андрей | Генеральный директор Центра политического консультирования, Ярославская область |
| 149 | Судаков Александр | Координатор «Нижегородского пресс-клуба», журналист, политолог, Нижегородская область |
| 150 | Сумин Антон | Директор информационного агентства «Малая родина», Рязанская область |
| 151 | Суслов Евгений | Доцент кафедры русского языка, литературы и журналистики Марийского государственного университета, кандидат политических наук, Республика Марий Эл |
| 152 | Таланов Сергей | Руководитель Ярославского регионального отделения Российского общества социологов, кандидат социологических наук, доцент, Ярославская область |
| 153 | Тарбастаева Инна | Социолог, Новосибирская область |
| 154 | Ташматова Галина | Генеральный директор Центра кубанской журналистики, главный редактор издания «Новая газета Кубани», Краснодарский край |
| 155 | Телегин Александр | Представитель Агентства политических и экономических коммуникаций (АПЭК), Ленинградская область |
| 156 | Теребова Светлана | Директор Агентства мониторинга и социологических исследований, Вологодская область |
| 157 | Терский Максим | Редактор AST-NEWS.ru, Астраханская область |
| 158 | Тимирчев Илья | Политолог, Саратовская область |
| 159 | Ткачев Михаил | Директор ГТРК «Ставрополье», Ставропольский край |
| 160 | Трескин Вадим | Представитель Агентства политических и экономических коммуникаций (АПЭК), Архангельская область |
| 161 | Труфанов Константин | Управляющий партнер коммуникационного агентства «Первый советник», Удмуртская Республика |
| 162 | Туровский Ростислав | Вице-президент Центра политических технологий, доктор политических наук, Москва |
| 163 | Уразаев Эдуард | Политолог, Республика Дагестан |
| 164 | Файрузов Александр | Главный редактор сетевого издания «Челябинск сегодня», Челябинская область |
| 165 | Филатов Артем | Политолог, Вологодская область |
| 166 | Хамидуллин Марат | Директор Агентства нестандартных политических и корпоративных ситуаций, Удмуртская Республика |
| 167 | Хансверов Рустам | Главный редактор газеты «Люберецкая панорама», заместитель председателя Союза журналистов Подмосковья, Московская область |
| 168 | Хасмагомадов Эдильбек | Директор Национальной библиотеки Чеченской Республики, историк, публицист, общественный деятель, кандидат исторических наук, Чеченская Республика |
| 169 | Храпач Сергей | Экономист, эксперт в сфере безопасности, Москва |
| 170 | Целищев Дмитрий | Управляющий директор инвестиционной компании «Риком-Траст», Москва |
| 171 | Цыганков Анатолий | Представитель Агентства политических и экономических коммуникаций (АПЭК), Республика Карелия |
| 172 | Цыпленков Сергей | Руководитель Калининградского социологического центра, Калининградская область |
| 173 | Чаблин Антон | Главный редактор аналитического интернет-портала «Акценты», кандидат политических наук, Ставропольский край |
| 174 | Черемухин Роман | Руководитель аналитического агентства «Стратагема», Москва |
| 175 | Черникова Виктория | Доцент кафедры социологии и политологии исторического факультета Воронежского государственного университета, кандидат политических наук, Воронежская область |
| 176 | Чернышов Юрий | Заведующий кафедрой всеобщей истории и международных отношений Алтайского государственного университета, директор Алтайской школы политических исследований, доктор исторических наук, Алтайский край |
| 177 | Чернявский Александр | Политический аналитик, Красноярский край |
| 178 | Чирун Сергей | Доктор политических наук, профессор, Кемеровская область |
| 179 | Шабуров Алексей | Редактор ИА «Политсовет», политолог, Свердловская область |
| 180 | Шаповалов Владимир | Руководитель проектов Экспертного института социальных исследований (ЭИСИ), кандидат исторических наук, Москва |
| 181 | Шаяхметов Арсен | Политолог, старший преподаватель Уфимского университета науки и технологий, Республика Башкортостан |
| 182 | Шейда Геннадий | Член Общественной палаты Алтайского края, доцент кафедры политологии АлтГУ, Алтайский край |
| 183 | Шешукова Галина | Представитель Агентства политических и экономических коммуникаций (АПЭК), Оренбургская область |
| 184 | Шиндяев Владислав | Политконсультант, Иркутская область |
| 185 | Шляпужников Алексей | Издатель информационного агентства «ПроВладимир», Владимирская область |
| 186 | Шмидт Сергей | Доцент кафедры мировой истории и международных отношений ИГУ, кандидат исторических наук, Иркутская область |
| 187 | Яременко Николай | Главный редактор ИА «РосБалт», доцент Финансового университета при правительстве РФ, Москва |
| 188 | Ярулин Илдус | Доктор политических наук, профессор, Хабаровский край |
| 189 | Ястреб Наталья | Директор Института социальных и гуманитарных наук ВоГУ, Вологодская область |
[1] В силу объективных трудностей с актуализацией части статистических данных в рейтинге используются максимально «свежие» доступные данные, которые не всегда связаны с данным периодом. В тех случаях, когда по определенному городу, в отличие от остальных, удавалось найти более актуальную статистику, использовалась именно она.
[2] Используется электоральная статистика, приводимая на официальном сайте Центризбиркома РФ.
[3] Данные по бюджетной статистике взяты с Единого портала бюджетной системы Российской Федерации, затем проводились необходимые расчеты.
[4] Здесь и далее в качестве источника информации используются данные Росстата, если не указано иное (например, при расчетах бюджетных и электоральных показателей).
[5] Мы посчитали, что положительные характеристики (рост показателя, положительное значение показателя) должны находиться в диапазоне оценки эффективности от 0,4 до 1, а отрицательные характеристики (снижение показателя, отрицательное значение показателя) – в диапазоне от 0 до 0,4.
[6] Прим.: в случае совпадения баллов до третьего знака после запятой при ранжировании использовались последующие знаки после запятой.
[7] В таблице отмечены случаи, когда смена городского руководителя произошла в течение 2025 года.
