ХIII рейтинг эффективности управления в субъектах Российской Федерации в 2025 году
![1. Основные результаты Тринадцатого рейтинга эффективности управления Тринадцатый рейтинг эффективности управления в субъектах Российской Федерации, подготовленный Агентством политических и экономических коммуникаций (АПЭК), – уникальный интегральный аналитический продукт, основанный на синтезе экспертных оценок и специальным образом обработанных статистических и рейтинговых данных. В представленном рейтинге даны оценки эффективности ныне действующей региональной власти и высшего должностного лица субъекта Федерации по итогам 2025 года. 2025-й год оказался достаточно сложным для российских регионов. Многие субъекты Федерации столкнулись с финансово-бюджетными и социально-экономическими проблемами, которые осложняли решение […]](https://regcomment.ru/wp-content/uploads/2026/01/21012026-360x189.jpg)
1. Основные результаты Тринадцатого рейтинга эффективности управления
Тринадцатый рейтинг эффективности управления в субъектах Российской Федерации, подготовленный Агентством политических и экономических коммуникаций (АПЭК), – уникальный интегральный аналитический продукт, основанный на синтезе экспертных оценок и специальным образом обработанных статистических и рейтинговых данных. В представленном рейтинге даны оценки эффективности ныне действующей региональной власти и высшего должностного лица субъекта Федерации по итогам 2025 года.
2025-й год оказался достаточно сложным для российских регионов. Многие субъекты Федерации столкнулись с финансово-бюджетными и социально-экономическими проблемами, которые осложняли решение важных для общества задач. Стали очевидными серьезные вызовы для региональной власти в России, в связи с чем вопрос об эффективности ее работы в условиях возникших ограничений имел особое значение. Как показало наше исследование, в целом регионы справились с трудностями и смогли стабилизировать ситуацию, хотя различия между ними были существенными.
Одним из главных достижений региональной власти явилось обеспечение социально-политической стабильности, что само по себе было непростой задачей в условиях непростой социально-экономической ситуации и при бюджетных ограничениях. Это особенно важно в связи с приближением очередного федерального избирательного цикла – думской кампании 2026 года, связанной также с множеством региональных избирательных кампаний, особенно по выборам региональных законодательных собраний.
Избирательные кампании 2025 года, итоги которых мы учитываем в исследовании эффективности региональной власти, продемонстрировали высокие результаты поддержки действующих губернаторов и «Единой России». В целом «Единая Россия» весьма активно провела 2025 год, что сказалось и на ее повсеместных успехах на региональных выборах. Наряду с этим укрепилась связь «Единой России» и губернаторского корпуса, ряд представителей которого пополнили число секретарей региональных политсоветов партии.
Высокий уровень эффективности политического управления продемонстрировали губернаторские выборы, которые состоялись в 20 субъектах Федерации (кроме того, в Ненецком АО губернатор избирался на заседании регионального парламента). В восьми регионах результат действующего главы превысил 80%, достигая 88% в Татарстане и почти 87% в Курской области. Еще в пяти регионах результаты действующих глав составили от 70% до 80%. При этом ни в одном из регионов не было реального риска второго тура, а сравнительно более «слабый» результат в Иркутской области составил несколько более 60% — с очень большим отрывом действующего губернатора от соперника из КПРФ. То же можно сказать и об остальных шести губернаторах, получивших от 60% до 70% голосов.
Одним из самых заметных итогов 2025 года стал значительный прирост электоральной поддержки «Единой России» в сравнении с предыдущими выборами в тех же регионах, которые в 2020 году давали не столь однозначные и не всегда высокие результаты. При этом из 11 регионов, в которых состоялись выборы в законодательные собрания, в 10 случаях «Единая Россия» получила более 50% голосов, в том числе в трех регионах были зафиксированы результаты, превышающие 70%. Напротив, выборы региональных законодательных собраний продемонстрировали слабый уровень поддержки партий парламентской оппозиции, в том числе ухудшение позиций КПРФ в большинстве регионов.
Наряду с этим 2025 год характеризовался интенсивной кадровой динамикой, призванной не только повысить эффективность региональной власти, но и привести ее в соответствие с нынешним историческим периодом. В связи с этим отмечалось активное продвижение участников СВО во власть, в том числе в депутатском корпусе при поддержке «Единой России» и в органах региональной исполнительной власти.
При этом активность губернаторских замен была не очень высокой: Кремль достаточно высоко оценил эффективность действующих региональных глав, что позволило им принять участие в очередных выборах. В некоторых случаях губернаторские замены объяснялись успешным развитием карьеры, а не претензиями к работе губернаторов. Так, губернатор Новгородской области А.Никитин перешел в федеральное правительство, впоследствии заняв позицию министра транспорта, в связи с чем новым главой региона стал его преемник и первый заместитель А.Дронов. В Тверской области губернатор И.Руденя переместился на пост представителя президента в Северо-Западном федеральном округе, а его место, пока в статусе врио губернатора, занял заместитель руководителя Федеральной антимонопольной службы В.Королев.
Заметное место в практиках губернаторских назначений продолжал играть опыт работы в новых регионах. Так, глава правительства ДНР Е.Солнцев занял пост губернатора Оренбургской области, что также привело к возвращению оренбургского губернатора Д.Паслера в Свердловскую область, которую он и возглавил вместо Е.Куйвашева. Бывшая глава правительства Запорожской области И.Гехт, в свою очередь, стала главой Ненецкого АО вместо Ю.Бездудного.
В целом для региональной исполнительной власти в 2025 году — при небольшом количестве губернаторских замен — было характерно множество кадровых перестановок, затрагивающих уровень заместителей губернаторов, вице-премьеров и министров региональных правительств. В наибольшей степени подобные перемены характеризовали регионы, где смена губернатора произошла немного раньше, такие как Вологодская и Самарская области. Но и там, где губернатор сменился в 2025 году, кадровых замен могло быть очень много, как это продемонстрировала Свердловская область. Кроме того, большое количество замен в 2025 году происходило в правительствах новых регионов, что было связано как с переходом чиновников на должности в других регионах, так и с потребностью в повышении эффективности работы региональной власти.
При этом новые регионы и пострадавшие приграничные регионы в течение всего года находились в фокусе особого внимания федеральной власти. Центром принималось множество решений о поддержке этих регионов, их населения и бизнеса, о развитии инфраструктуры и социальной сферы. В этих условиях были успешно избраны на выборах как давно действующий губернатор Брянской области А.Богомаз, так и новый глава Курской области А.Хинштейн. Однако наряду с этим центр усилил контроль за расходованием средств в приграничных регионах, что привело к развитию резонансных уголовных дел, связанных с хищениями при строительстве фортификационных сооружений.
Особое внимание центра к вопросам влияния СВО на положение дел в регионах привело также к решению о создании новой комиссии Госсовета РФ по вопросам поддержки ветеранов боевых действий – участников СВО и членов их семей. Создание этой комиссии способствовало укреплению позиций астраханского губернатора И.Бабушкина, который стал ее руководителем. Наряду с этим была создана подкомиссия Госсовета по сохранению исторической памяти, которую возглавила новый губернатор Еврейской АО М.Костюк. Перемены в Госсовете также помогли усилению политического влияния главы Мордовии А.Здунова, ставшего главой комиссии «Семья» вместо А.Никитина, перешедшего в федеральное правительство. Повышение статуса в федеральных структурах помогло и мурманскому губернатору А.Чибису, который единственным из губернаторов был включен в состав президиума Морской коллегии.
Возросшее влияние на региональную политическую повестку в 2025 году приобрела борьба с коррупцией, ставшая также немаловажным способом повышения эффективности региональной власти. На уровне губернаторского корпуса этот процесс, однако, затронул только бывших глав регионов: уголовному преследованию подверглись бывший руководитель Курской области А.Смирнов и экс-губернатор Тамбовской области М.Егоров. Кроме того, был заочно арестован экс-губернатор Челябинской области Б.Дубровский.
В то же время на уровне региональных чиновников более низкого ранга расследования коррупции обрели еще более масштабный характер, чем прежде. В части случаев они затрагивали представителей старых управленческих команд уже после смены главы региона – такими примерами в наиболее заметных масштабах являлись Ханты-Мансийский АО, Ростовская область, а также отдельные важные примеры отмечались в Рязанской области, Республике Коми. В Свердловской области резонансные расследования начались еще при прежнем губернаторе Е.Куйвашеве и продолжились после его замены. Наряду с этим было много примеров расследований в отношении региональных чиновников разного ранга, которые не были связаны с заменами губернаторов, но могли несколько ослабить их политические позиции. Наиболее значительными примерами с точки зрения числа и уровня чиновников, ставших фигурантами уголовных дел, оказались Краснодарский край, Ивановская, Брянская области. Также крупные случаи были отмечены в Дагестане, Владимирской, Вологодской областях, на уровне районных администраций Санкт-Петербурга.
Интересной и более новой тенденцией оказались расследования в отношении представителей регионального крупного бизнеса, приводящие не только к уголовным делам, но и к смене собственников крупных активов: такими примерами стали Челябинская область и Камчатский край.
Проблемы в региональной финансовой и социально-экономической ситуации потребовали принятия множества как фундаментальных, так и оперативных решений, в том числе со стороны федеральной власти. В частности, в 2025 году правительство утвердило план реализации Стратегии пространственного развития России, которая была принята в 2024 году. Начались пересмотр, уточнение и оптимизация планов развития Дальнего Востока и Арктической зоны, остающихся среди основных региональных приоритетов российской власти. В частности, были приняты юридические основания для создания на Дальнем Востоке международных территорий опережающего развития, а наряду с этим началось формирование единой системы преференциальных экономических режимов Дальнего Востока, призванной заменить их ныне существующие различные типы. В отношении Арктической зоны правительство утвердило планы комплексного социально-экономического развития ее опорных населенных пунктов до 2035 года – речь идет о 15 кластерах, располагающихся во всех арктических регионах России.
В целом федеральная власть в условиях бюджетных ограничений уделяла повышенное внимание улучшению инвестиционного климата в регионах. В этой связи принималось множество решений о создании или расширении в регионах особых экономических зон и территорий опережающего развития. Наряду с этим для облегчения региональной финансово-бюджетной ситуации и направления средств на приоритетные нужды, такие как модернизация ЖКХ, центр активно реализовывал практику списания региональных долгов по бюджетным кредитам. В то же время было принято немало решений по предоставлению регионам казначейских инфраструктурных кредитов (КИК), предназначенных главным образом для ускоренного финансирования региональной инфраструктуры. Такая практика помогла регионам не откладывать многие назревшие и важные для граждан решения, касающиеся ЖКХ, дорожной сферы. Наряду с этим центр выделял отдельным регионам крупные дополнительные бюджетные средства, где наиболее заметные транши также были связаны с дорожным строительством, с созданием университетских кампусов.
Наконец, активно развивающимся направлением, способным повысить эффективность региональной власти, стала цифровизация регионального управления. На этом направлении основные ориентиры также были заданы федеральной властью, которая, в частности, инициировала внедрение так называемых дашбордов губернаторов, призванных качественным образом улучшить информирование региональной власти о социально-экономических процессах и перевести управление этими процессами в режим реального времени.
Общая динамика результата
Анализ эффективности управления в регионах России по итогам 2025 года фиксирует небольшое снижение среднего балла эффективности – с 0,580 до 0,576. При этом изменения по отдельным блокам носят разнонаправленный характер. Политико-управленческий блок продемонстрировал заметный рост: средний балл увеличился с 0,615 до 0,636, что указывает на устойчивость политических процессов на региональном уровне и дальнейшее совершенствование практик политического управления.
В то же время социальный блок показал существенное ухудшение показателей – с 0,572 до 0,520. Именно он и повлиял на общее снижение эффективности региональной власти, а также оказался наименее успешным из трех изучаемых нами направлений. Финансово-экономический блок, напротив, частично компенсировал прошлогоднее снижение: средний балл вырос с 0,554 до 0,572. Это свидетельствует об адаптации региональных экономик к новым условиям и успешной работе губернаторов с целью нивелировать последствия финансово-экономических проблем.
Лидером рейтинга, как и годом ранее, остается Москва: ее итоговый балл вырос с 0,772 до 0,781. Помимо столицы, порог в 0,7 балла сумела преодолеть Тюменская область, улучшив результат с 0,698 до 0,705.
Одновременно увеличилось число регионов с низкими значениями индекса: в 2025 году пять субъектов получили менее 0,5 балла (в 2024 году – три региона). Хакасия вновь замыкает рейтинг, хотя ее показатель и вырос с 0,427 до 0,442. Таким образом, контрасты между регионами по итогам 2025 года выросли, но не резко.
Позиции лидеров
По итогам 2025 года первая пятерка лидеров рейтинга в целом сохранилась, однако внутри нее произошли отдельные перестановки. Москва и Тюменская область по-прежнему занимают первое и второе места, а Чеченская Республика удержала третью позицию. Ленинградская область укрепила свои позиции, поднявшись с пятого на четвертое место, тогда как Ямало-Ненецкий автономный округ опустился с четвертого места на седьмое. Его место в пятерке занял Татарстан, продолживший в 2025 году рост и поднявшийся с шестого на пятое место.
В первой десятке произошли и другие изменения. Челябинская область поднялась с 6-го места на 7-е, а Нижегородская область — с 10-го на 8-е, закрепив свое положение в первой десятке, где она оказалась в 2024 году. Тульская область, напротив, опустилась с 8-го на 9-е место. В топ-10 вернулся Санкт-Петербург, улучшив позицию с 12-го до 10-го места. Одновременно первую десятку покинула Белгородская область, опустившаяся с 9-го на 13-е место.
Во вторую десятку в 2025 году также вошли, улучшив свое положение в рейтинге, Калужская область (с перемещением с 21-го на 16-е место и возвращением во вторую десятку, где данный регион находился ранее), Ханты-Мансийский автономный округ (рост с 22-го на 17-е место) и Курская область (с 27-го на 18-е место). При этом вторую десятку покинули Калининградская область (опустилась с 17-го на 22-е место), Мордовия (с 18-го на 21-е) и Воронежская область (с 20-го на 26-е).
Позиции аутсайдеров
Аутсайдеры рейтинга по итогам 2025 года в целом продемонстрировали устойчивость своих позиций, которую нельзя рассматривать как позитивный результат. Худшим регионом вновь стала Хакасия, сохранившая последнее, 89-е место (но все-таки с ростом балла эффективности). Предпоследнее место по итогам 2025 года заняла Архангельская область (опустившаяся с 84-й позиции), а третье с конца – Тыва (поднялась на одну позицию с предпоследнего места). В нижнюю десятку (80-89 места) в 2025 году опустились Карелия (переход с 75-го на 80-е место) и Карачаево-Черкесия (с 78-го на 81-е). Напротив, улучшили позиции и покинули нижнюю десятку Ингушетия (поднялась на 78-е место) и Республика Коми (поднялась на 76-е место). Кроме них в нижней десятке остались Еврейская АО, Бурятия, Калмыкия, Новосибирская и Орловская области.
В группе регионов, занимающих места с 70-го по 79-е, остались многие традиционные аутсайдеры: Волгоградская, Ульяновская и Курганская области, Марий Эл, Удмуртия и Северная Осетия. Кроме того, в эту группу вошли Ингушетия и Республика Коми, улучшившие позиции, а также Приморский край и Иркутская область, опустившиеся вниз.
Динамика региональных результатов
Для более точного анализа динамики эффективности регионального управления обратим внимание на наиболее заметные изменения в положении регионов в двух вариантах его оценки – на основе изменения рейтинга (т.е. места региона) и изменения среднего балла.
Динамика в 2025 году была умеренной: ни один регион не изменил свое положение в рейтинге более чем на 10 позиций. Наиболее существенное повышение рейтинга продемонстрировала Курская область, поднявшаяся на 9 позиций, а наиболее крупное снижение рейтинга показала Новгородская область, опустившаяся также на 9 позиций. В обоих случаях на позиции регионов повлияла смена губернатора. Однако если в Курской области приход А.Хинштейна привел к улучшению ситуации с эффективностью власти на фоне его неудачливого предшественника А.Смирнова, то в Новгородской области замена А.Никитина на А.Дронова имела противоположный эффект.
Рост среднего балла эффективности был зафиксирован в 27 регионах, что значительно больше, чем в прошлом году (14 регионов). При этом наибольшее число случаев роста среднего балла отмечено в верхней двадцатке, где многие наилучшие регионы, таким образом, значительно укрепили свои позиции. Примерами самой позитивной динамики в этом измерении оказались Ленинградская область, Татарстан и Башкортостан, а самую негативную динамику по баллу эффективности региональной власти показала Архангельская область.
Анализ результатов по направлениям
На фоне заметного повышения среднего балла в рамках политико-управленческого блока в региональном разрезе был отмечен его рост в 75 субъектах. Более 0,8 баллов получили сразу три региона – Чеченская Республика, Татарстан и Москва (в предшествующем году – только Москва), а более 0,7 баллов – еще 14 регионов (в прошлом году – четыре региона).
Первая десятка в рамках политико-управленческого блока продемонстрировала интересные изменения: в нее вошли с заметным улучшением позиций два региона — Башкортостан (поднялся с 15-го места на высокое пятое) и Курская область (с 18-го места перешла на 6-е). Покинули первую десятку Московская область и Краснодарский край, переместившиеся по вторую десятку. В топ-3 Чеченская Республика вернулась на первое место (со второго), Москва опустилась с первого на третье, а второе место занял Татарстан, поднявшийся на две позиции. Покинула первую тройку Тюменская область, опустившаяся, впрочем, лишь на одну позицию.
Во вторую десятку, помимо опустившихся в нее с более высоких позиций Московской области и Краснодарского края, попали поднявшиеся выше Калужская и Ростовская области. Тем временем покинули вторую десятку Запорожская область и Мордовия, позиции которых ослабли, а также Башкортостан и Курская область, поднявшиеся в первую десятку и показавшие очень хорошие результаты.
Последнее место в 2025 году заняла Орловская область, опустившаяся на целых 7 позиций. Всего в последней десятке (80-89 места) оказалось четыре новых фигуранта: Еврейская АО, Карачаево-Черкесия, Карелия и Архангельская область. Напротив, поднялись наверх из последней десятки Мордовия, Хабаровский край, Республика Коми и Бурятия.
Самое заметное снижение позиций в политико-управленческом блоке (более чем на 10 мест) продемонстрировали Новгородская и Ивановская области, Камчатский край, Северная Осетия, Карачаево-Черкесия. А наибольшее улучшение позиций было отмечено в Курской, Амурской, Мурманской областях, Санкт-Петербурге, Ханты-Мансийском АО, Башкортостане, Ингушетии, Калмыкии, Бурятии и Республике Коми.
Говоря о наиболее интересных результатах по отдельным показателям политико-управленческого блока, отметим, что объемы безвозмездных поступлений из федерального центра в региональные бюджеты выросли (с учетом введенной нами поправки на инфляцию) только в 31 регионе (в 2024 году – в 18 регионах, в 2023 году – в 26 регионах): продолжается уже отмеченный нами ранее тренд на фактическое снижение объемов федеральных трансфертов. Как и в прошлом году, отмечаются отдельные случаи значительного роста трансфертов, связанные с индивидуальными приоритетами центра (явным лидером здесь является приграничная Курская область). При этом доля бюджетных расходов на общегосударственные вопросы в консолидированных бюджетах регионов выросла только в 37 регионах (в 2024 году – в 65 регионах), в то время как высокая доля этих расходов считается нами индикатором низкой эффективности. Тем самым фиксируется позитивная динамика по этому направлению, свидетельствующая о том, что региональные управленцы разумным образом сдерживают расходы на работу бюрократического аппарата.
В целом успехи регионов в рамках политико-управленческого блока определялись политической, в том числе электоральной управляемостью и консолидацией элиты, а также снижением расходов на работу госаппарата, тогда как на ухудшение показателей эффективности работало менее успешное лоббирование федеральных трансфертов.
В рамках социального блока Москва вновь осталась не только лидером, но и единственным регионом, который смог получить более 0,7 баллов. Рост среднего итогового балла был зафиксирован при этом лишь в двух субъектах, тогда как в 2024 году таких регионов было хотя бы 12 (в 2023 году рост итоговых баллов в социальном блоке, напротив, характеризовал 63 региона, т.е. абсолютное большинство).
В первой десятке появились два новых региона: Сахалинская область и Санкт-Петербург, поднявшиеся с 12-го и 11-го места на 6-е и 7-е соответственно. Покинули первую десятку Магаданская область (опустилась с 9-го на 13-е место) и Белгородская область (с 7-го на 15-е). Во вторую десятку попали также поднявшиеся туда Ненецкий АО, Якутия, Нижегородская и Кировская области. Покинули вторую десятку, опустившись ниже, Алтайский край, Костромская, Новгородская и Омская области.
В группе аутсайдеров (80-89 места) новичками в связи с ухудшением своих позиций стали Мурманская область, Калмыкия и Орловская область. Напротив, покинули эту группу Тыва (не один год ранее занимавшая последнее место), Еврейская АО и Ингушетия. Последнее место по итогам 2025 года заняла Новосибирская область, опустившаяся на 4 позиции.
Самую значительную негативную динамику (более 10 позиций) в рамках социального блока продемонстрировали многие регионы: Новгородская, Омская, Калининградская, Пензенская, Орловская, Курганская области, Калмыкия. Напротив, наибольшую позитивную динамику показали Нижегородская и Самарская области, Хабаровский край, Ханты-Мансийский АО, Башкортостан, Татарстан, Республика Алтай, Удмуртия и прежний главный аутсайдер — Тыва.
В 2025 году расходы консолидированных бюджетов регионов на здравоохранение в расчете на душу населения (с учетом инфляции) выросли в 61 регионе, что является хорошим показателем в условиях бюджетных проблем, которые испытывают многие регионы, и даже немного больше, чем в предшествующем году (59 регионов).
Расходы консолидированных бюджетов на сферу общего образования в расчете на одного учащегося в 2025 году увеличились в 53 регионах (в 2024 году – в 61 регионе), что также следует признать успешной тенденцией, учитывая, что рост по-прежнему захватывает большинство субъектов федерации. Расходы консолидированных бюджетов на сферу дошкольного образования в расчете на одного дошкольника в 2025 году выросли даже в 80 регионах (в прошлом году – в 76 регионах), то есть по этому показателю наблюдается очень устойчивая позитивная динамика.
Бюджетные расходы на ЖКХ на душу населения в 2025 году выросли в более чем половине регионов (45), что является позитивной динамикой по сравнению с прошлым годом (35 регионов). Кроме того, в 45 регионах в рассматриваемый нами период 2025 года увеличилось строительство жилых домов (при этом в целом по России все же зафиксирован спад, на который влияют некоторые крупные субъекты).
Несмотря на позитивную динамику по ряду бюджетных и инфраструктурных показателей, средний балл социального блока в 2025 году снизился. Главной причиной этого стали невысокие экспертные оценки, свидетельствующие о том, что бюджетные средства на социальные нужды использовались региональными властями не вполне эффективно. Наиболее низко эксперты оценили успешность региональной власти в части предоставления социальной помощи гражданам.
В рамках финансово-экономического блока в 2025 году сразу четыре региона смогли набрать более 0,7 баллов (в 2024 году – только Москва). Москва при этом осталась лидером, Ленинградская область сохранила вторую позицию, а третье место занял Ханты-Мансийский АО, поднявшийся с 6-й строки. Новыми фигурантами в первой десятке оказались Татарстан, Калужская и Ростовская области, поднявшиеся из второй десятки. Покинули топ-10 Сахалинская, Воронежская и Самарская области, напротив, опустившиеся во вторую десятку.
Во вторую десятку с более низких позиций поднялись три региона: Башкортостан, Свердловская и Калининградская области, а покинули ее в результате ухудшения позиций Алтайский и Краснодарский края, а также Ненецкий АО.
Новыми фигурантами в десятке аутсайдеров стали три региона: Костромская область, Бурятия и Карелия. Напротив, покинули группу самых неблагополучных регионов и поднялись наверх Еврейская АО, Омская область и Карачаево-Черкесия.
Ухудшение позиций на 10 и более мест в финансово-экономическом блоке продемонстрировали Краснодарский, Красноярский и Камчатский края, Самарская, Амурская, Вологодская, Мурманская, Томская, Пензенская области и Бурятия. Напротив, наиболее значительное улучшение позиций отмечено в Калужской, Ростовской, Свердловской, Калининградской областях, Хабаровском крае, Татарстане, Чеченской Республике, Мордовии, Марий Эл, Удмуртии и Дагестане.
Говоря об отдельных показателях финансово-экономического блока, отметим: бюджетный дефицит был зафиксирован в 79 регионах, что значительно больше, чем в прошлом году (18 регионов) и свидетельствует о больших проблемах в бюджетной сфере.
Положительная динамика региональных бюджетных инвестиций на душу населения зафиксирована только в 39 регионах (в прошлом году – в 47 регионах). Рост общих инвестиций в основной капитал в 2025 году также был отмечен лишь в 39 регионах (в прошлом году – в 67 регионах).
Рост промышленности в рассматриваемый период в 2025 году также зафиксирован в 39 регионах (в прошлом году – в 65 регионах), а вот в сельском хозяйстве ситуация оказалась лучше – рост отмечен в 55 регионах (в прошлом году – в 28 регионах).
Таким образом, в наибольшей степени на снижение баллов эффективности в финансово-экономическом блоке повлияли проблемы со сбалансированностью региональных бюджетов, сокращение инвестиций и трудности в промышленном комплексе. Напротив, позитивные тенденции определяло положение в сельском хозяйстве.
Замены губернаторов и их влияние на эффективность власти
В 2025 году губернаторы сменились только в пяти регионах. Среди них наиболее высокие позиции в рейтинге заняли Ненецкий АО (И.Гехт, 27-е место, но при этом произошло снижение на три позиции) и Тверская область (В.Королев стал врио губернатора в конце года, в связи с чем в рейтинге по-прежнему оценивался его предшественник И.Руденя – при нем регион занял 28-е место, продемонстрировав рост на пять позиций). Чуть ниже заняли места Свердловская область (Д.Паслер, 33-е место, рост на четыре позиции) и Новгородская область (А.Дронов, 38-е место, снижение на 9 позиций). Наконец, во второй половине рейтинга оказалась Оренбургская область (Е.Солнцев, 53-е место, рост на 7 позиций).
Смена губернатора наиболее заметным положительным образом повлияла на Оренбургскую область, тогда как Новгородская область продемонстрировала по итогам смены губернатора наиболее слабые результаты.
Среди 12 регионов, которые в 2024 году возглавили новые губернаторы и где можно уже было говорить о более уверенной и надежной оценке результатов их работы по итогам 2025 года, сразу 8 регионов показали позитивную динамику: Ростовская область (Ю.Слюсарь, 15-е место), Ханты-Мансийский АО (Р.Кухарук, 17-е место), Курская область (А.Хинштейн, 18-е место), Тамбовская область (Е.Первышов, 40-е место), Республика Алтай (А.Турчак, 65-е место), Хабаровский край (Д.Демешин, 67-е место), Республика Коми (Р.Гольдштейн, 76-е место) и Еврейская АО (М.Костюк, 82-е место).
Напротив, четыре региона с новыми губернаторами, вступившими на пост в 2024 году, по итогам 2025 года ухудшили свои позиции: Тульская область (Д.Миляев, но при этом регион занимает высокое 9-е место), Самарская область (В.Федорищев, 20-е место), Калининградская область (А.Беспрозванных, 22-е место), Кемеровская область (И.Середюк, 50-е место).
Перспективы региональных выборов 2026 года
В 2026 году прямые губернаторские выборы состоятся как минимум в 7 регионах (включая Тверскую область, где врио был назначен в ноябре 2025 года). В преддверии выборов наиболее сильные позиции в рейтинге занимают глава Чеченской Республики Р.Кадыров (3-е место), губернатор Белгородской области В.Гладков (13-е место), глава Мордовии А.Здунов (21-е место). При этом Белгородская область и Мордовия в 2025 году продемонстрировали небольшую негативную динамику, а Чеченская Республика сохранила высокие позиции.
Во нижней половине рейтинга располагаются Пензенская область (О.Мельниченко, 51-е место), Ульяновская область (А.Русских, 72-е место) и Тыва (В.Ховалыг, 87-е место). Среди них в 2025 году Пензенская область показала негативную динамику, Ульяновская область сохранила прежние позиции, а Тыва поднялась на одну строку.
В 2026 году пройдут непрямые выборы глав в трех северокавказских республиках. Среди них более высокие позиции в середине рейтинга демонстрирует Дагестан (С.Меликов, 46-е место, рост на пять позиций). Ближе к концу рейтинга находятся Северная Осетия (С.Меняйло, 79-е место, снижение на три позиции) и Карачаево-Черкесия (Р.Темрезов, 81-е место, снижение также на три позиции).
2. Методика рейтинга эффективности управления
Рейтинг делится на три блока, по каждому из которых проводится своя оценка: политико-управленческий, социальный и финансово-экономический. Каждый из этих блоков делится на несколько направлений, каждое из которых также оценивается отдельно. Итоговый (интегральный) рейтинг представляет собой обобщение рейтингов по политико-управленческому, социальному и финансово-экономическому блокам (среднее арифметическое трех соответствующих показателей).
В рейтинге оценивается деятельность региональной исполнительной власти и ныне действующих высших должностных лиц субъектов РФ. В этой связи используются данные, которые имеют отношение к действующему руководителю региона, и по этой причине рейтинг показывает эффективность его работы, а также работы возглавляемого им органа исполнительной власти субъекта РФ. Для новых губернаторов, назначенных во второй половине года, используются только экспертные оценки, а для губернаторов, назначенных в первой половине года, статистика используется выборочно.
По каждому из трех блоков, составляющих итоговую оценку, рассчитывается собственный рейтинг. Он получается путём усреднения оценок регионов по нескольким направлениям блока. Итоговые оценки по каждому направлению, как правило, представляют собой среднее арифметическое: а) усредненной совокупности нормированных статистических и рейтинговых показателей и б) средней экспертной оценки. В случае проведения математического анализа эффективности расходования бюджетных средств по определенному направлению, итоговая оценка по этому направлению представляет собой среднее арифметическое не двух, а трех оценок – средней оценки по статистическим и рейтинговым показателям, средней экспертной оценки и показателя эффективности расходования бюджетных средств (по методу DEA).
В 2025 году набор используемых показателей был частично пересмотрен и расширен с целью более точного отражения текущих социально-экономических и управленческих реалий. Обновление методики направлено на повышение чувствительности рейтинга к актуальным вызовам и позволяет более адекватно оценивать качество управленческих решений в условиях меняющейся внешней и внутренней среды.
Показатели политико-управленческого блока
Рейтинг по политико-управленческому блоку складывается из четырех направлений:
- общественная поддержка главы региона;
- эффективность консолидации элиты и урегулирования внутриэлитных конфликтов;
- эффективность отношений с федеральным центром в двух измерениях: а) продвижение региональных интересов и поддержка региональных инициатив в федеральном центре; б) реализация требований центра в регионе;
- эффективность работы бюрократического аппарата.
На наш взгляд, перечисленные выше направления исчерпывают наиболее важные аспекты политико-управленческой деятельности. Первые три направления призваны описать успешность губернатора в выстраивании отношений с ключевыми акторами политической среды: населением, региональными элитами и федеральным центром. Последнее направление даёт возможность оценить, насколько эффективно выстроена внутренняя деятельность региональной власти.
Для расчета оценки региона по направлению «Общественная поддержка главы субъекта Федерации» используются электоральная статистика и экспертные оценки. В качестве основы для формирования оценки по этому направлению используются следующие электоральные данные:
- результат главы на прямых выборах в сентябре 2025 г.; для регионов, где прямые выборы проходили в сентябре 2024 года, данные тоже считаются нами актуальными и используются. В случаях более ранних последних выборов такого типа данный индикатор не применялся;
- результат «Единой России» или партии, к которой принадлежит глава региона, в регионе на выборах регионального законодательного собрания в сентябре 2025 года или в сентябре 2021-2024 гг., а в отсутствие данных выборов – на выборах депутатов Государственной Думы в 2021 г. на территории региона.
Ранжирование губернаторов по направлению «Эффективность консолидации элиты и урегулирования внутриэлитных конфликтов» осуществляется на основании экспертного опроса.
Для составления рейтинга по направлению «Эффективность отношений с федеральным центром» в качестве статистических данных использовался показатель динамики объемов безвозмездных поступлений в консолидированные региональные бюджеты (отношение объема за январь-октябрь 2025 г. к объему за январь-октябрь 2024 г. с поправкой на инфляцию).
В рамках этого направления нами также был использован рейтинг влияния глав субъектов РФ, составляемый Агентством политических и экономических коммуникаций (АПЭК), в виде среднего показателя за январь-ноябрь 2025 г.
Экспертная оценка по данному направлению формировалась на основе усреднения двух экспертных оценок: а) эффективности продвижения региональных интересов и поддержки региональных инициатив в федеральном центре и б) эффективности реализации требований федерального центра в регионе.
Ранжирование губернаторов по «Эффективности работы бюрократического аппарата» осуществлялось посредством экспертных оценок и использования трех статистических показателей:
- Численность государственных гражданских (муниципальных) служащих органов исполнительной власти субъектов Российской Федерации и органов местного самоуправления на 10 тыс. жителей (последние доступные данные). Регион с наиболее компактным управленческим аппаратом «на душу населения» считается нами наиболее успешным.
- Доля расходов консолидированного бюджета субъекта Федерации на общегосударственные вопросы в общем объеме расходов за январь-октябрь 2025 г. Мы исходили из того, что эта доля должна быть ограниченной, и считали менее эффективными случаи, когда она велика.
- Динамика доли расходов консолидированного бюджета субъекта Федерации на общегосударственные вопросы в общем объеме расходов за январь-октябрь 2025 г. в сравнении с январем-октябрем 2024 г. Мы считали эффективным снижение этой доли.
Показатели социального блока
Данный тематический блок состоит из пяти основных направлений социальной (социально значимой) сферы, ответственность за которые так или иначе лежит на региональной власти:
- развитие здравоохранения, физкультуры и спорта;
- развитие образования и культурной сферы;
- демографическая политика и поддержка семьи;
- эффективность социальной поддержки, в т.ч. участников СВО и их семей;
- модернизация ЖКХ, развитие городской среды и решение жилищных проблем.
Формирование оценки деятельности губернатора по направлению «Развитие здравоохранения, физкультуры и спорта» проводится с использованием статистических данных, результатов математического анализа эффективности по модели «затраты – результат», экспертных оценок.
В качестве статистических показателей были использованы следующие:
- Обеспеченность региона врачами на 10 тыс. жителей (последние доступные данные).
- Обеспеченность региона больничными койками на 10 тыс. чел. (последние доступные данные).
- Младенческая смертность за доступный период 2025 г.
- Ожидаемая продолжительность жизни при рождении (последние доступные данные).
- Отношение заработной платы врачей к средней по региону (последние доступные данные).
- Расходы консолидированного бюджета субъекта Федерации на здравоохранение на душу населения за январь-октябрь 2025 г.[1]
- Динамика расходов консолидированного бюджета субъекта Федерации на здравоохранение на душу населения за январь-октябрь 2025 г. в сравнении с январем-октябрем 2024 г., с поправкой на инфляцию.
Для математического анализа в качестве выходного показателя, демонстрирующего состояние сферы здравоохранения в регионе, использовалась средняя оценка по пяти первым указанным выше показателям (т.е. без показателей бюджетных расходов). В качестве входного показателя использовались расходы консолидированного бюджета субъекта на здравоохранение в расчете на душу населения за январь-октябрь 2025 г. (с поправкой на индекс бюджетных расходов).
Оценка по направлению «Развитие образования и культурной сферы» рассчитывается аналогичным образом на основе средней оценки по статистическим показателям, результата математического анализа и средней экспертной оценки. В качестве статистических показателей использованы следующие:
- Численность учителей на 1 тыс. учащихся (последние доступные данные).
- Обеспеченность детей дошкольного возраста местами в дошкольных образовательных учреждениях, количество мест на 1000 детей (последние доступные данные).
- Отношение заработной платы педагогических работников образовательных учреждений общего образования к средней по региону (последние доступные данные).
- Расходы консолидированного бюджета субъекта Федерации на общее образование в расчете на одного учащегося за январь-октябрь 2025 г.
- Динамика расходов консолидированного бюджета субъекта Федерации на общее образование в расчете на одного учащегося за январь-октябрь 2025 г. в сравнении с январем-октябрем 2024 г., с учетом инфляции.
- Расходы консолидированного бюджета субъекта Федерации на дошкольное образование на одного ребенка, посещающего детский сад, за январь-октябрь 2025 г.
- Динамика расходов консолидированного бюджета субъекта Федерации на дошкольное образование на одного ребенка, посещающего детский сад, за январь-октябрь 2025 г. в сравнении с январем-октябрем 2024 г., с учетом инфляции.
- Расходы консолидированного бюджета субъекта Федерации на культуру на душу населения, за январь-октябрь 2025 г.
Для математического анализа в качестве выходного показателя, демонстрирующего состояние сферы образования в регионе, использовалась средняя оценка по трем первым указанным выше показателям (т.е. без показателей бюджетных расходов). В качестве входного показателя использовались расходы консолидированного бюджета субъекта Федерации на образование в расчете на душу населения за январь-октябрь 2025 г. (с поправкой на индекс бюджетных расходов).
Оценка по направлению «Демографическая политика и поддержка семьи» рассчитывается на основе средней оценки по статистическим показателям и средней экспертной оценки. В качестве статистических показателей использованы следующие:
- Суммарный коэффициент рождаемости (число детей на 1 женщину) (последние доступные данные).
- Общий коэффициент брачности на 1000 населения (последние доступные данные).
- Общий коэффициент разводимости на 1000 населения (последние доступные данные).
Оценка по направлению «Эффективность социальной поддержки, в т.ч. участников СВО и их семей» рассчитывается на основе средней оценки по статистическим показателям и средней экспертной оценки. В качестве статистических показателей использованы следующие:
- Расходы консолидированного бюджета субъекта Федерации на социальную политику на душу населения, за январь-октябрь 2025 г.
Оценка по направлению «Модернизация ЖКХ, развитие городской среды и решение жилищных проблем» рассчитывается на основе средней оценки по статистическим показателям и средней экспертной оценки. В качестве статистических показателей использованы следующие:
- Расходы консолидированного бюджета субъекта Федерации на ЖКХ на душу населения за январь-октябрь 2025 г.
- Динамика расходов консолидированного бюджета субъекта Федерации на ЖКХ на душу населения за январь-октябрь 2025 г. в сравнении с январем-октябрем 2024 г., с учетом инфляции.
- Индекс строительства жилых домов в январе-октябре 2025 г.
- Удельный вес семей, получивших жилые помещения, в числе семей, состоявших на учете в качестве нуждающихся в жилых помещениях (последние доступные данные).
Показатели финансово экономического блока
Итоговая оценка по финансово-экономическому блоку получается из среднего арифметического оценок, полученных по следующим направлениям:
- эффективность экономического управления;
- улучшение инвестиционного климата;
- эффективность развития транспортной и другой экономической инфраструктуры;
- эффективность цифровизации экономики и государственного сектора;
- развитие и поддержка малого и среднего бизнеса;
- эффективность финансово-бюджетной политики.
Такие общеэкономические показатели, как динамика промышленного и сельскохозяйственного производства образуют статистические данные для оценки по направлению «Эффективность экономического управления». Нами были использованы следующие доступные статистические данные:
- Индекс промышленного производства в январе-ноябре 2025 г.
- Индекс производства продукции сельского хозяйства в январе-сентябре 2025 г.
Однако вклад губернатора в экономическое развитие региона ограничен внешними факторами, такими как тип экономики, ресурсообеспеченность, стартовое состояние производственно-материальной базы и др. Понимая это, мы в данном случае придаем больший вес экспертным оценкам в сравнении с усредненными статистическими показателями (в отношении два к одному).
Улучшение инвестиционного климата больше зависит от деятельности главы региона. При анализе данного направления, наряду с экспертными оценками, используются следующие статистические данные:
- Объём инвестиций в основной капитал за исключением бюджетных средств на душу населения (за январь-сентябрь 2025 г.).
- Индекс физического объема инвестиций в основной капитал за январь-сентябрь 2025 г. в сопоставимых ценах к январю-сентябрю 2024 г.
- Объем инвестиций в основной капитал из консолидированного бюджета региона на душу населения за январь-сентябрь 2025 г.[2]
- Динамика объема инвестиций в основной капитал из консолидированного бюджета региона на душу населения за январь-сентябрь 2025 г. в сравнении с январем-сентябрем 2024 г., с учетом инфляции.
Эффективность развития транспортной и другой экономической инфраструктуры рассчитывается на основе экспертных оценок и следующих показателей:
- Расходы консолидированного бюджета субъекта Федерации на дорожное хозяйство на душу населения за январь-октябрь 2025 г.
- Динамика расходов консолидированного бюджета субъекта Федерации на дорожное хозяйство на душу населения за январь-октябрь 2025 г. в сравнении с январем-октябрем 2023 г., с учетом инфляции.
Эффективность цифровизации экономики и государственного сектора рассчитывается на основе экспертных оценок и следующих показателей:
- Рейтинг субъектов Федерации по внедрению Платформы обратной связи за январь-сентябрь 2025 г.
- Рейтинг региональных руководителей цифровой трансформации (представлен летом 2025 г.)
Развитие и поддержка малого и среднего бизнеса рассчитывается на основе экспертных оценок и показателя доли малого и среднего предпринимательства в ВРП (последние доступные данные).
Эффективность финансово-бюджетной политики рассчитывается на основе экспертных оценок и трех показателей:
- Уровень долговой нагрузки на региональный бюджет (на 1 ноября 2025 г.).
- Дефицит консолидированного бюджета субъекта Федерации по состоянию на 1 ноября 2025 г.[3] Профицит условно считается эталонным показателем эффективности – все значения эффективности в его случае приравниваются к единице (без различения размера профицита, который может иметь ситуативный технический характер), а в отношении регионов с дефицитом применяется процедура линейного масштабирования (см. ниже).
- Качество бюджетного управления (данные мониторинга качества бюджетного управления, проводимого Министерством финансов, согласно которому регионы делятся на три группы[4]). Данный рейтинг имеет три градации (1 – 2 — 3, где 1 – высокое качество управления региональными финансами), которые были переведены в шкалу 1 — 0,5 — 0.
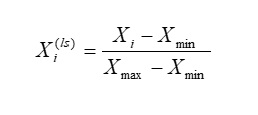
Стандартизация данных
Очевидно, что использованные показатели имеют неодинаковую размерность, то есть измерены в разных единицах. Поэтому необходимо было привести их к сопоставимому виду. С этой целью в данном проекте использован метод линейного масштабирования[5]. Его суть состоит в том, чтобы отобразить значения каждого показателя в интервале от 0 до 1, сохраняя все пропорции между отдельными значениями. Таким образом, сохраняются все структурные характеристики исходного показателя.
[1] При расчете всех бюджетных расходов мы делали поправку на индекс бюджетных расходов (ИБР), рассчитываемый Министерством финансов, что позволяет корректно учесть объективные межрегиональные различия, особенно – более высокие расходы северных регионов.
[2] Этот показатель позволяет оценить активность региональной власти при инвестировании собственных бюджетных средств.
[3] Собственные расчеты на основе данных Единого портала бюджетной системы РФ.
[4] Данные Министерства финансов РФ.
[5] Он не применяется в отношении показателей, которые способны находиться в интервале от 0 до 100% (например, электоральные данные). Такие показатели используются в исходном виде (но в виде долей от 0 до 1).
В применяемой формуле масштабированное значение
получается в результате деления разности наблюдаемого
и минимального значения переменной на ее размах:
(1)
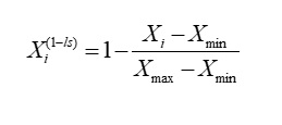
В том случае, когда непосредственно измеряемый показатель отрицательно связан с высокой эффективностью (например, уровень младенческой смертности с эффективностью системы здравоохранения), применяется обратное линейное масштабирование: полученный в линейном масштабе показатель вычитается из единицы:

(2)
Тогда распределение масштабированного показателя становится «зеркальным отображением» исходного показателя, если его высокие значения свидетельствуют о неэффективности.
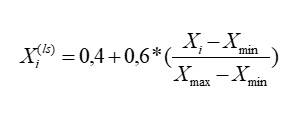
В отношении показателей динамики и показателей, имеющих как положительные, так и отрицательные значения, применялась процедура линейного масштабирования отдельно для положительных и отрицательных значений (или значений больше или меньше 1 (100%), в случае вычисления динамики как частного) с последующим объединением в интервал [0;1] посредством линейного сжатия рядов[6]:
[6] Мы посчитали, что положительные характеристики (рост показателя, положительное значение показателя) должны находиться в диапазоне оценки эффективности от 0,4 до 1, а отрицательные характеристики (снижение показателя, отрицательное значение показателя) – в диапазоне от 0 до 0,4.

— для негативной динамики (интервал оценки [0;0,4]) (3)

— для позитивной динамики (интервал оценки [0,4;1]) (4)
В расчете итоговой оценки мы считаем принципиальным различение двух типов показателей: показатели, полученные в ходе экспертного опроса (первичные данные) и показатели, взятые из других источников (официальная статистика, мониторинги, рейтинги). Итоговые экспертные оценки по каждому из направлений получены как средние арифметические всех полученных по данному направлению экспертных оценок. Итоговые оценки неэкспертного происхождения получены как средние арифметические всех показателей, входящих в данное направление (после их линейного масштабирования). Общая оценка по направлению получена как среднее общей экспертной и общей неэкспертной оценки[7] (а по таким направлениям, как здравоохранение, образование и ЖКХ, как среднее арифметическое общей экспертной оценки, общей неэкспертной оценки и результата математического анализа по модели «затраты – результат»).
Эти два (или в ряде случаев — три) вида оценок включены в общую оценку по направлению в равной пропорции (кроме случая эффективности экономического управления). Равенство пропорции позволяет учесть достоинства и недостатки каждого вида оценки. Так, экспертные оценки получены по состоянию на момент проведения исследования, т.е. ноябрь-декабрь 2025 г. В то же время некоторые статистические данные доступны только по итогам 2024 г. С другой стороны, экспертные оценки могут грешить субъективизмом, а статистические данные не в полной мере относиться к непосредственной работе главы региона. Очевидно, что идеальная методика оценки эффективности главы региона невозможна, но разработанная нами методика, на наш взгляд, максимально приближена к реальности.
Математический анализ эффективности
Эффективность в данном случае понимается как отношение полученных результатов к затраченным ресурсам. Монетарные ресурсы представляют собой «вход» (input) системы, которая называется «центром принятия решений» (Decision Making Unit, DMU). Результаты деятельности (как материальные, например, объем произведенной продукции, так и нематериальные: например, достигнутый уровень ожидаемой продолжительности жизни) представляют собой «выход» (output) системы. Более эффективна та система, которая обладает большим «выходом» при идентичном объеме затрат или идентичным «выходом» при меньшем объеме затрат.
В более сложном случае имеется набор (вектор) ресурсов, преобразуемый системой в набор (вектор) результатов. Графически это можно представить следующим образом (рис. 1):
Рис. 1. Центр принятия решений.

[7] За исключением эффективности экономического управления, где экспертная оценка имеет вес «2», а среднее статистических показателей – вес «1».
В качестве основного инструмента расчета оценок эффективности предполагается использование Data Envelopment Analysis (DEA)[8]. Концептуально подход к оценке эффективности в рамках DEA восходит к классической идее оптимальности по Парето (Парето-эффективности), предполагающей, в самом общем виде, невозможность увеличения («улучшения») какого-либо параметра без уменьшения («ухудшения») других параметров. В Парето-эффективной экономике невозможно увеличить выпуск одного продукта без снижения выпуска другого.
Например, будем считать, что X – это государственные расходы на программу повышения квалификации чиновников, а Y – число управленцев, прошедших переподготовку. Точки на плоскости, отражающие различные комбинации затрат и результатов, будут соответствовать DMU – допустим, региональным администрациям (DMU 1, 2, 3, 4), кривая 0A – границе производственных возможностей.
Региональная администрация, соответствующая DMU 4 (точка С) на рис. 2, неэффективна, так как для нее имеется возможность увеличить количество обучаемых чиновников без снижения затрат (DMU4→C’). Также неэффективна DMU 2, для которой имеется возможность сократить затраты без снижения результата (DMU2 →B’). DMU 1 и DMU 3 являются эффективными для данного множества объектов, так как располагаются на границе производственных возможностей. Для таких регионов оценка эффективности равна единице. Для всех остальных регионов эффективность определяется расстоянием до ГПВ (границы производственных возможностей), оценивается числом от 0 до 1 и показывает, какую долю возможной производительности демонстрирует регион (например, показатель эффективности 0,6 означает, что регион реализует только 60% своего потенциала в данной отрасли). Построение ГПВ и расчет оценок эффективности производится с помощью инструментов линейного программирования.
Таким образом, мерой эффективности для региона в рамках использованного метода являются показатели других, более производительных регионов.
В таблице ниже приведены показатели, использовавшиеся для математического анализа в рамках проекта:
Рис. 2. DMU в пространстве «вход – выход».

[8] Используемая нами методика DEA предложена для подобных исследований профессором НИУ ВШЭ, доктором политических наук А.Ахременко.
| Расчетный показатель | Входной показатель | Выходной показатель |
| Эффективность здравоохранения | Расходы консолидированного бюджета субъекта РФ на здравоохранение в расчете на душу населения, с поправкой на индекс бюджетных расходов | Ожидаемая продолжительность жизни при рождении;
уровень младенческой смертности; обеспеченность врачами на 10 тыс. человек населения; обеспеченность больничными койками на 10 тыс. чел. населения; заработная плата в сфере здравоохранения к средней по региону. |
| Эффективность образования | Расходы консолидированного бюджета субъекта РФ на образование в расчете на душу населения, с поправкой на индекс бюджетных расходов | заработная плата в сфере образования к средней по региону;
численность учителей на 1 тыс. учащихся; обеспеченность детей дошкольного возраста местами в дошкольных образовательных учреждениях, количество мест на 1 тыс. детей. |
Экспертные оценки
Для каждого из направлений всех трех блоков получена экспертная оценка от федеральных и региональных экспертов, представляющая собой число от 0 до 5 (5 – наивысшая оценка). Конкретные позиции для экспертного оценивания приведены ниже.
| Тематический блок | Показатель для экспертного оценивания |
| Политико-управленческий блок | Общественная поддержка главы региона |
| Эффективность консолидации элиты и урегулирования внутриэлитных конфликтов | |
| Эффективность продвижения региональных интересов и поддержки региональных инициатив в центре | |
| Эффективность реализации требований центра в регионе | |
| Эффективность работы бюрократического аппарата | |
| Социальный блок | Развитие здравоохранения, физкультуры и спорта |
| Развитие образования и культурной сферы | |
| Демографическая политика и поддержка семьи | |
| Эффективность социальной поддержки, в т.ч. участников СВО и их семей | |
| Модернизация ЖКХ, развитие городской среды и решение жилищных проблем | |
| Финансово-экономический блок | Эффективность экономического управления |
| Улучшение инвестиционного климата | |
| Эффективность развития транспортной и другой экономической инфраструктуры | |
| Эффективность цифровизации экономики и государственного сектора | |
| Развитие и поддержка малого и среднего бизнеса | |
| Эффективность финансово-бюджетной политики |
В исследовании были задействованы 189 экспертов – специалистов по региональной политике из Москвы и регионов: политологи, экономисты, политтехнологи, публицисты, общественные деятели (список см. в Приложении).
- Итоговый рейтинг эффективности[9]
| Субъект РФ | ОБЩИЙ ИТОГ | ПОЛИТИКО-УПРАВЛЕНЧЕСКИЙ БЛОК | СОЦИАЛЬНЫЙ БЛОК | ФИНАНСОВО-ЭКОНОМИЧЕСКИЙ БЛОК | ||||
| Балл | Ранг | Балл | Ранг | Балл | Ранг | Балл | Ранг | |
| г. Москва
|
0,781
(0,772) |
1
(1) |
0,820
(0,828) |
3
(1) |
0,728
(0,706) |
1
(1) |
0,794
(0,782) |
1
(1) |
| Тюменская область
|
0,705
(0,698) |
2
(2) |
0,791
(0,777) |
4
(3) |
0,621
(0,635) |
2
(2) |
0,702
(0,681) |
4
(3) |
| Чеченская Республика
|
0,695
(0,666) |
3
(3) |
0,882
(0,795) |
1
(2) |
0,605
(0,629) |
8
(3) |
0,598
(0,572) |
26
(36) |
| Ленинградская область | 0,678
(0,643) |
4
(5) |
0,723
(0,652) |
11
(17) |
0,539
(0,586) |
31
(30) |
0,773
(0,691) |
2
(6) |
| Республика Татарстан (Татарстан) | 0,678
(0,640) |
5
(6) |
0,855
(0,765) |
2
(4) |
0,507
(0,550) |
45
(65) |
0,672
(0,604) |
6
(22) |
| Челябинская область
|
0,666
(0,637) |
6
(7) |
0,735
(0,677) |
9
(9) |
0,613
(0,618) |
4
(8) |
0,650
(0,616) |
13
(8) |
| Ямало-Ненецкий АО
|
0,664
(0,659) |
7
(4) |
0,724
(0,681) |
10
(8) |
0,613
(0,628) |
5
(4) |
0,654
(0,668) |
10
(4) |
| Нижегородская область | 0,649
(0,630) |
8
(10) |
0,738
(0,686) |
7
(5) |
0,557
(0,584) |
19
(32) |
0,653
(0,619) |
11
(11) |
| Тульская область
|
0,646
(0,635) |
9
(8) |
0,721
(0,672) |
12
(11) |
0,574
(0,613) |
11
(14) |
0,644
(0,619) |
14
(12) |
| г. Санкт-Петербург
|
0,646
(0,628) |
10
(12) |
0,665
(0,623) |
23
(37) |
0,608
(0,616) |
7
(11) |
0,664
(0,645) |
7
(5) |
| Московская область
|
0,642
(0,628) |
11
(11) |
0,720
(0,682) |
13
(7) |
0,513
(0,570) |
41
(45) |
0,694
(0,634) |
5
(8) |
| Республика Башкортостан | 0,641
(0,605) |
12
(19) |
0,752
(0,659) |
5
(15) |
0,549
(0,576) |
24
(38) |
0,622
(0,581) |
18
(25) |
| Белгородская область
|
0,639
(0,630) |
13
(9) |
0,735
(0,677) |
8
(10) |
0,565
(0,620) |
15
(7) |
0,618
(0,593) |
22
(21) |
| Сахалинская область
|
0,637
(0,626) |
14
(13) |
0,647
(0,631) |
31
(30) |
0,611
(0,615) |
6
(12) |
0,651
(0,632) |
12
(9) |
| Ростовская область
|
0,633
(0,615) |
15
(16) |
0,680
(0,641) |
19
(21) |
0,563
(0,606) |
16
(19) |
0,655
(0,597) |
9
(20) |
| Калужская область
|
0,633
(0,604) |
16
(21) |
0,711
(0,636) |
16
(25) |
0,529
(0,576) |
34
(37) |
0,658
(0,600) |
8
(18) |
| Ханты-Мансийский АО — Югра | 0,626
(0,603) |
17
(22) |
0,641
(0,599) |
36
(47) |
0,535
(0,570) |
32
(44) |
0,702
(0,640) |
3
(6) |
| Курская область
|
0,622
(0,597) |
18
(27) |
0,742
(0,649) |
6
(18) |
0,494
(0,541) |
64
(71) |
0,629
(0,600) |
16
(19) |
| Краснодарский край
|
0,615
(0,623) |
19
(14) |
0,718
(0,683) |
14
(6) |
0,520
(0,572) |
40
(41) |
0,608
(0,614) |
24
(14) |
| Самарская область
|
0,609
(0,619) |
20
(15) |
0,648
(0,640) |
29
(23) |
0,552
(0,582) |
22
(34) |
0,626
(0,635) |
17
(7) |
| Республика Мордовия
|
0,608
(0,606) |
21
(18) |
0,667
(0,643) |
22
(20) |
0,576
(0,621) |
10
(6) |
0,581
(0,552) |
36
(47) |
| Калининградская область | 0,607
(0,610) |
22
(17) |
0,677
(0,660) |
20
(14) |
0,525
(0,591) |
36
(26) |
0,620
(0,579) |
20
(30) |
| Чукотский АО
|
0,605
(0,598) |
23
(25) |
0,611
(0,583) |
57
(64) |
0,614
(0,625) |
3
(5) |
0,590
(0,586) |
29
(22) |
| Республика Саха (Якутия) | 0,604
(0,596) |
24
(30) |
0,661
(0,626) |
26
(35) |
0,562
(0,592) |
17
(25) |
0,590
(0,569) |
30
(38) |
| Донецкая Народная Республика | 0,601
(0,596) |
25
(28) |
0,704
(0,670) |
17
(12) |
0,540
(0,588) |
30
(28) |
0,558
(0,532) |
58
(60) |
| Воронежская область
|
0,595
(0,605) |
26
(20) |
0,658
(0,640) |
27
(22) |
0,491
(0,550) |
65
(63) |
0,636
(0,623) |
15
(10) |
| Ненецкий АО
|
0,595
(0,601) |
27
(24) |
0,614
(0,597) |
50
(49) |
0,565
(0,596) |
14
(22) |
0,605
(0,610) |
25
(16) |
| Тверская область
|
0,591
(0,593) |
28
(33) |
0,648
(0,635) |
30
(26) |
0,506
(0,564) |
49
(56) |
0,619
(0,580) |
21
(26) |
| Вологодская область
|
0,591
(0,601) |
29
(23) |
0,639
(0,615) |
38
(40) |
0,561
(0,609) |
18
(17) |
0,573
(0,579) |
41
(31) |
| Республика Крым
|
0,589
(0,593) |
30
(34) |
0,688
(0,647) |
18
(19) |
0,505
(0,569) |
50
(46) |
0,574
(0,563) |
40
(41) |
| Луганская Народная Республика | 0,588
(0,589) |
31
(35) |
0,716
(0,669) |
15
(13) |
0,520
(0,583) |
39
(33) |
0,527
(0,515) |
70
(68) |
| Липецкая область
|
0,587
(0,597) |
32
(26) |
0,644
(0,625) |
33
(36) |
0,526
(0,586) |
35
(29) |
0,592
(0,580) |
28
(27) |
| Свердловская область
|
0,583
(0,586) |
33
(37) |
0,629
(0,612) |
42
(42) |
0,498
(0,566) |
61
(52) |
0,621
(0,579) |
19
(29) |
| Магаданская область
|
0,581
(0,584) |
34
(38) |
0,605
(0,579) |
61
(69) |
0,571
(0,617) |
13
(9) |
0,568
(0,557) |
48
(44) |
| Алтайский край
|
0,580
(0,593) |
35
(32) |
0,579
(0,565) |
73
(78) |
0,554
(0,605) |
21
(20) |
0,608
(0,610) |
23
(15) |
| Камчатский край
|
0,579
(0,595) |
36
(31) |
0,585
(0,590) |
70
(57) |
0,572
(0,611) |
12
(15) |
0,581
(0,583) |
35
(23) |
| Ярославская область
|
0,579
(0,584) |
37
(39) |
0,641
(0,630) |
37
(31) |
0,551
(0,594) |
23
(23) |
0,544
(0,527) |
64
(61) |
| Новгородская область
|
0,576
(0,596) |
38
(29) |
0,626
(0,628) |
44
(34) |
0,541
(0,615) |
27
(13) |
0,560
(0,545) |
55
(51) |
| Красноярский край
|
0,571
(0,586) |
39
(36) |
0,634
(0,610) |
40
(43) |
0,508
(0,573) |
44
(40) |
0,571
(0,574) |
44
(34) |
| Тамбовская область
|
0,571
(0,576) |
40
(44) |
0,580
(0,576) |
72
(71) |
0,582
(0,616) |
9
(10) |
0,551
(0,535) |
59
(56) |
| Пермский край
|
0,568
(0,578) |
41
(41) |
0,635
(0,629) |
39
(32) |
0,481
(0,536) |
70
(76) |
0,589
(0,569) |
32
(37) |
| Саратовская область
|
0,564
(0,571) |
42
(48) |
0,645
(0,616) |
32
(39) |
0,502
(0,565) |
56
(54) |
0,546
(0,533) |
63
(58) |
| Запорожская область
|
0,563
(0,578) |
43
(42) |
0,673
(0,657) |
21
(16) |
0,500
(0,567) |
57
(50) |
0,517
(0,510) |
73
(70) |
| Кировская область
|
0,562
(0,576) |
44
(43) |
0,572
(0,581) |
75
(66) |
0,555
(0,598) |
20
(21) |
0,559
(0,551) |
56
(49) |
| Амурская область
|
0,562
(0,573) |
45
(46) |
0,514
(0,584) |
51
(61) |
0,503
(0,560) |
54
(57) |
0,570
(0,573) |
45
(35) |
| Республика Дагестан
|
0,561
(0,568) |
46
(51) |
0,626
(0,618) |
45
(38) |
0,510
(0,580) |
43
(35) |
0,548
(0,505) |
62
(72) |
| Ивановская область
|
0,560
(0,579) |
47
(40) |
0,595
(0,596) |
64
(50) |
0,506
(0,576) |
47
(39) |
0,579
(0,565) |
37
(39) |
| Республика Адыгея (Адыгея) | 0,560
(0,566) |
48
(55) |
0,614
(0,595) |
52
(53) |
0,499
(0,555) |
60
(61) |
0,567
(0,548) |
51
(50) |
| г. Севастополь
|
0,559
(0,567) |
49
(54) |
0,607
(0,586) |
59
(59) |
0,503
(0,560) |
53
(58) |
0,568
(0,553) |
50
(45) |
| Кемеровская область — Кузбасс | 0,559
(0,573) |
50
(47) |
0,650
(0,631) |
28
(29) |
0,503
(0,566) |
55
(51) |
0,523
(0,521) |
71
(64) |
| Пензенская область
|
0,559
(0,574) |
51
(45) |
0,663
(0,634) |
25
(28) |
0,498
(0,567) |
62
(48) |
0,514
(0,521) |
76
(65) |
| Брянская область
|
0,558
(0,570) |
52
(49) |
0,631
(0,613) |
41
(41) |
0,454
(0,516) |
84
(83) |
0,590
(0,582) |
31
(24) |
| Оренбургская область
|
0,558
(0,563) |
53
(60) |
0,592
(0,587) |
66
(58) |
0,522
(0,578) |
37
(36) |
0,558
(0,524) |
57
(63) |
| Рязанская область
|
0,557
(0,569) |
54
(50) |
0,581
(0,575) |
71
(72) |
0,496
(0,554) |
63
(62) |
0,595
(0,578) |
27
(32) |
| Псковская область
|
0,557
(0,563) |
55
(61) |
0,613
(0,598) |
53
(48) |
0,543
(0,590) |
26
(27) |
0,514
(0,503) |
77
(74) |
| Астраханская область
|
0,557
(0,562) |
56
(64) |
0,619
(0,606) |
47
(44) |
0,483
(0,540) |
69
(73) |
0,568
(0,540) |
49
(53) |
| Костромская область
|
0,556
(0,564) |
57
(58) |
0,623
(0,591) |
46
(55) |
0,547
(0,607) |
25
(18) |
0,498
(0,495) |
80
(77) |
| Владимирская область
|
0,556
(0,568) |
58
(52) |
0,613
(0,600) |
55
(46) |
0,504
(0,567) |
51
(47) |
0,550
(0,535) |
60
(55) |
| Чувашская Республика – Чувашия | 0,555
(0,567) |
59
(53) |
0,541
(0,534) |
84
(86) |
0,541
(0,593) |
28
(24) |
0,583
(0,576) |
33
(33) |
| Смоленская область
|
0,555
(0,563) |
60
(62) |
0,589
(0,574) |
68
(74) |
0,506
(0,570) |
48
(43) |
0,568
(0,544) |
46
(52) |
| Забайкальский край
|
0,554
(0,565) |
61
(56) |
0,665
(0,636) |
24
(24) |
0,424
(0,507) |
87
(87) |
0,574
(0,552) |
39
(46) |
| Кабардино-Балкарская Республика | 0,554
(0,564) |
62
(59) |
0,642
(0,629) |
35
(33) |
0,488
(0,543) |
68
(68) |
0,532
(0,521) |
66
(66) |
| Ставропольский край
|
0,553
(0,562) |
63
(65) |
0,611
(0,594) |
56
(54) |
0,477
(0,534) |
74
(80) |
0,571
(0,559) |
43
(42) |
| Омская область
|
0,553
(0,564) |
64
(57) |
0,605
(0,595) |
60
(52) |
0,541
(0,611) |
29
(16) |
0,513
(0,487) |
78
(82) |
| Республика Алтай
|
0,552
(0,551) |
65
(73) |
0,589
(0,577) |
69
(70) |
0,500
(0,543) |
58
(69) |
0,566
(0,533) |
52
(59) |
| Мурманская область
|
0,552
(0,562) |
66
(63) |
0,628
(0,591) |
43
(56) |
0,465
(0,538) |
80
(74) |
0,561
(0,558) |
54
(43) |
| Хабаровский край
|
0,551
(0,559) |
67
(70) |
0,567
(0,560) |
77
(84) |
0,511
(0,565) |
42
(53) |
0,577
(0,552) |
38
(48) |
| Херсонская область
|
0,551
(0,560) |
68
(68) |
0,642
(0,634) |
34
(27) |
0,480
(0,550) |
71
(64) |
0,530
(0,495) |
68
(76) |
| Томская область
|
0,546
(0,560) |
69
(67) |
0,598
(0,583) |
62
(62) |
0,522
(0,571) |
38
(42) |
0,517
(0,525) |
74
(62) |
| Республика Марий Эл
|
0,544
(0,552) |
70
(71) |
0,564
(0,563) |
79
(82) |
0,500
(0,559) |
59
(59) |
0,568
(0,534) |
47
(57) |
| Приморский край
|
0,544
(0,561) |
71
(66) |
0,591
(0,583) |
67
(63) |
0,469
(0,537) |
78
(75) |
0,573
(0,564) |
42
(40) |
| Ульяновская область
|
0,543
(0,552) |
72
(72) |
0,594
(0,586) |
65
(60) |
0,507
(0,567) |
46
(49) |
0,529
(0,503) |
69
(73) |
| Иркутская область
|
0,536
(0,560) |
73
(69) |
0,553
(0,563) |
82
(83) |
0,472
(0,536) |
76
(78) |
0,582
(0,580) |
34
(28) |
| Курганская область
|
0,535
(0,548) |
74
(74) |
0,608
(0,580) |
58
(67) |
0,466
(0,546) |
79
(67) |
0,530
(0,519) |
67
(67) |
| Удмуртская Республика | 0,534
(0,532) |
75
(79) |
0,563
(0,564) |
80
(80) |
0,490
(0,536) |
67
(77) |
0,549
(0,495) |
61
(75) |
| Республика Коми
|
0,528
(0,524) |
76
(82) |
0,570
(0,512) |
76
(87) |
0,479
(0,548) |
72
(66) |
0,535
(0,512) |
65
(69) |
| Волгоградская область
|
0,527
(0,540) |
77
(77) |
0,613
(0,601) |
54
(45) |
0,453
(0,529) |
85
(81) |
0,516
(0,490) |
75
(79) |
| Республика Ингушетия | 0,522
(0,524) |
78
(81) |
0,614
(0,581) |
49
(65) |
0,479
(0,520) |
73
(82) |
0,471
(0,472) |
85
(85) |
| Республика Северная Осетия – Алания | 0,521
(0,542) |
79
(76) |
0,564
(0,580) |
78
(68) |
0,504
(0,565) |
52
(55) |
0,494
(0,480) |
81
(83) |
| Республика Карелия
|
0,520
(0,548) |
80
(75) |
0,539
(0,568) |
85
(76) |
0,533
(0,585) |
33
(31) |
0,486
(0,491) |
84
(78) |
| Карачаево-Черкесская Республика | 0,518
(0,540) |
81
(78) |
0,544
(0,575) |
83
(73) |
0,490
(0,555) |
66
(60) |
0,521
(0,489) |
72
(80) |
| Еврейская АО
|
0,512
(0,499) |
82
(87) |
0,558
(0,573) |
81
(75) |
0,476
(0,536) |
75
(79) |
0,503
(0,389) |
79
(87) |
| Республика Бурятия
|
0,511
(0,523) |
83
(83) |
0,574
(0,550) |
74
(85) |
0,465
(0,513) |
81
(86) |
0,493
(0,508) |
82
(71) |
| Республика Калмыкия
|
0,501
(0,516) |
84
(86) |
0,596
(0,568) |
63
(77) |
0,464
(0,540) |
82
(72) |
0,442
(0,441) |
86
(86) |
| Новосибирская область | 0,491
(0,520) |
85
(85) |
0,493
(0,510) |
88
(88) |
0,417
(0,513) |
89
(85) |
0,563
(0,536) |
53
(54) |
| Орловская область
|
0,479
(0,532) |
86
(80) |
0,490
(0,564) |
89
(81) |
0,458
(0,543) |
83
(70) |
0,489
(0,489) |
83
(81) |
| Республика Тыва
|
0,472
(0,477) |
87
(88) |
0,619
(0,596) |
48
(51) |
0,469
(0,459) |
77
(89) |
0,330
(0,376) |
89
(88) |
| Архангельская область
|
0,450
(0,520) |
88
(84) |
0,537
(0,565) |
86
(79) |
0,419
(0,515) |
88
(84) |
0,393
(0,480) |
87
(84) |
| Республика Хакасия
|
0,442
(0,427) |
89
(89) |
0,512
(0,478) |
87
(89) |
0,437
(0,500) |
86
(88) |
0,375
(0,302) |
88
(89) |
[9] Зеленым цветом выделены случаи роста рейтинга (оценки или места в рейтинге), красным – случаи падения. В случае одинакового балла до третьего знака после запятой в ранжировании используется четвертый знак после запятой.
Приложение
Список экспертов, принимавших участие в исследовании
| № | Эксперт | Статус |
| 1 | Август Алена | Политтехнолог, Москва |
| 2 | Авдеев Юрий | Ведущий научный сотрудник Тихоокеанского института географии ДВО РАН, кандидат экономических наук, Приморский край |
| 3 | Аверина Светлана | Политтехнолог, председатель «Гильдии политологов и политтехнологов», Тульская область |
| 4 | Александров Артем | Депутат Тамбовской городской думы, политолог, Тамбовская область |
| 5 | Алексеев Игорь | Политтехнолог, Мурманская область |
| 6 | Амелин Николай | Председатель совета директоров издательского дома «Херст Шкулев — ИнтерМедиаГруп Владимир», Владимирская область |
| 7 | Андони Александр | Политолог, Приморский край |
| 8 | Андреева Любовь | Доцент кафедры теории и практики управления Новгородского филиала РАНХиГС, Новгородская область |
| 9 | Арьков Виталий | Представитель Агентства политических и экономических коммуникаций (АПЭК), Нижнее Поволжье, Северный Кавказ |
| 10 | Бабаян Юрий | Директор информационно-аналитического портала «Обозреватель.Врн», Воронежская область |
| 11 | Байметов Владимир | Политолог, Удмуртская Республика |
| 12 | Балицкий Александр | Политолог, Удмуртская Республика |
| 13 | Барахоева Нина | Представитель Агентства политических и экономических коммуникаций (АПЭК), Республика Ингушетия |
| 14 | Баринова Марина | Общественный деятель, Приморский край |
| 15 | Батурин Денис | Член Общественной палаты Республики Крым, политконсультант, Республика Крым |
| 16 | Бахлов Игорь | Заведующий кафедрой всеобщей истории и мирового политического процесса Мордовского государственного университета им. Н. П. Огарева, доктор политических наук, профессор, Республика Мордовия |
| 17 | Беляков Вячеслав | Политический консультант, Приморский край |
| 18 | Бирюков Сергей | Профессор Кемеровского государственного университета, доктор политических наук, Кемеровская область |
| 19 | Бодров Анатолий | Политолог, кандидат политических наук, Пензенская область |
| 20 | Болибок (Луцина) Татьяна | Доцент Удмуртского государственного университета, кандидат исторических наук, Удмуртская Республика |
| 21 | Бондаренко Олег | Директор Фонда прогрессивной политики, Москва |
| 22 | Боровов Михаил | Директор компании «Архангельск-ИНФО», Архангельская область |
| 23 | Борцов Дмитрий | Директор Чувашской Республиканской общественной организации социологов «СОЦИС-М», Республика Чувашия |
| 24 | Бурикова Инга | Кандидат психологических наук, генеральный директор «ЦСП «Белый Дом», доцент СЗИУ РАНХиГС, Санкт-Петербург |
| 25 | Бурко Виктор | Доцент кафедры социологии и политологии Пермского национального исследовательского политехнического университета (ПНИПУ), Пермский край |
| 26 | Валеев Шамиль | Депутат Госсобрания – Курултая Республики Башкортостан, Республика Башкортостан |
| 27 | Валеева Светлана | Главный редактор общественно-политического портала «Медиакорсеть», Республика Башкортостан |
| 28 | Верхотуров Михаил | Политолог, блогер, Республика Хакасия |
| 29 | Воробьев Сергей | Политолог, кандидат политических наук, Ставропольский край |
| 30 | Габдрафиков Ильдар | Старший научный сотрудник Института этнологических исследований УНЦ РАН, региональный эксперт Сети этнологического мониторинга и раннего предупреждения конфликтов, Республика Башкортостан |
| 31 | Гавычева Александра | Директор по медиа-проектам Агентства политических и экономических коммуникаций (АПЭК), Москва |
| 32 | Гагарин Анатолий | Руководитель Института системных политических исследований и гуманитарных проектов, куратор Экспертного клуба Екатеринбурга, доктор философских наук, Свердловская область |
| 33 | Гандеев Александр | Политический аналитик, Москва |
| 34 | Гереев Руслан | Директор Центра этноконфессиональных исследований Северного Кавказа, Республика Дагестан |
| 35 | Голубев Евгений | Генеральный директор социологического центра «Хи-Квадрат», главный редактор портала «Клуб социологов», Ярославская область |
| 36 | Горбачева Ирина | Главный редактор «Первого пензенского портала», политический обозреватель, Пензенская область |
| 37 | Городишенин Сергей | Руководитель Вологодского РО «Гражданский комитет России», Вологодская область |
| 38 | Гращенков Илья | Директор Центра развития региональной политики (ЦРРП), Москва |
| 39 | Гребенко Егор | Социолог, Ярославская область |
| 40 | Громский Алексей | Ведущий аналитик Агентства политических и экономических коммуникаций (АПЭК), Новгородская область |
| 41 | Гудов Андрей | Журналист, Кировская область |
| 42 | Данилин Павел | Генеральный директор Центра политического анализа, Москва |
| 43 | Даченков Игорь | Генеральный директор Агентства массовых коммуникаций «Регион Медиа», Москва |
| 44 | Денисова Татьяна | Политолог, журналист, Оренбургская область |
| 45 | Дергунова Нина | Политолог, доктор политических наук, профессор, Ульяновская область |
| 46 | Джантеева Джульетта | Заведующая отделом социально-политических исследований Карачаево-Черкесского института гуманитарных исследований, кандидат исторических наук, Карачаево-Черкесская Республика |
| 47 | Диденко Алексей | Председатель комитета Государственной думы РФ по региональной политике, Москва |
| 48 | Довбня Дмитрий | Эксперт Общественной палаты Челябинской области по развитию территорий, заместитель председателя комитета по содействию развития территории для внутреннего туризма ЧРО «Опора России», Челябинская область |
| 49 | Доильницына Елена | Журналист, Архангельская область |
| 50 | Дунаев Дмитрий | Политолог, Архангельская область |
| 51 | Дякина Оксана | Политолог, Московская область |
| 52 | Евдокимов Николай | Начальник отдела политических исследований Научно-исследовательского центра проблем управления и государственной службы Башкирской академии государственной службы и управления при главе Республики Башкортостан, кандидат политических наук, доцент, Республика Башкортостан |
| 53 | Елисеева Наталия | Политолог, политический аналитик, Москва |
| 54 | Ефремов Дмитрий | Политолог, Республика Крым |
| 55 | Желтов Павел | Политолог, медиа-менеджер, Санкт-Петербург |
| 56 | Жестовская Алина | Политолог, Москва |
| 57 | Журавлев Дмитрий | Генеральный директор Института региональных проблем, кандидат политических наук, Москва |
| 58 | Зверев Андрей | Доцент кафедры социологии и психологии политики факультета политологии Московского государственного университета им. М.В. Ломоносова, кандидат политических наук, доцент, Москва |
| 59 | Золотарев Виктор | Политический эксперт, Республика Бурятия |
| 60 | Зубанов Сергей | Представитель Агентства политических и экономических коммуникаций (АПЭК), Ямало-Ненецкий автономный округ |
| 61 | Зуев Сергей | Представитель Агентства политических и экономических коммуникаций (АПЭК), Псковская область |
| 62 | Игнатовский Ярослав | Генеральный директор аналитического центра «Политген», Москва |
| 63 | Калачев Константин | Руководитель «Политической экспертной группы», Москва |
| 64 | Калмантаев Булат | Заместитель генерального директора ГУП РИА «Оренбуржье», Оренбургская область |
| 65 | Каминская Татьяна | Заведующая кафедрой журналистики НовГУ, главный редактор журнала «Ученые записки Новгородского государственного университета», доктор филологических наук, доцент, Новгородская область |
| 66 | Качин Валерий | Председатель союза журналистов Кузбасса, Кемеровская область |
| 67 | Каштанов Олег | Сопредседатель регионального отделения ОНФ, член Общественной палаты Республики Мордовия, кандидат исторических наук, Республика Мордовия |
| 68 | Кащенко Алексей | Заместитель главного редактора сетевого издания «Ясно», Краснодарский край |
| 69 | Кирьянов Артем | Заместитель председателя комитета Государственной думы РФ по экономической политике, Москва |
| 70 | Кишаковская Ольга | Политолог, Приморский край |
| 71 | Климанов Владимир | Директор Центра региональной политики РАНХиГС, директор Института реформирования общественных финансов, доктор экономических наук, Москва |
| 72 | Князев Алексей | Руководитель исследовательских проектов Консультационного центра «Департамент политики», Челябинская область |
| 73 | Кобыскан Александр | Старший научный сотрудник Института стратегических исследований государственного бюджетного научного учреждения «Академия наук Республики Башкортостан», Республика Башкортостан |
| 74 | Козомазов Владимир | Политолог, Липецкая область |
| 75 | Кольба Алексей | Доцент кафедры государственной политики и государственного управления Кубанского государственного университета, доктор политических наук, Краснодарский край |
| 76 | Кондратьев Игорь | Политтехнолог, Новгородская область |
| 77 | Корчагин Андрей | Руководитель Липецкого центра изучения общественного мнения, Липецкая область |
| 78 | Косов Геннадий | Руководитель филиала Фонда развития гражданского общества в г. Ставрополь, Ставропольский край |
| 79 | Костылев Алексей | Главный редактор Информационно-аналитического портала «Ясно», Краснодарский край |
| 80 | Котляр Алексей | Основатель и редактор Telegram-канала «Ивановская область: треш и политика», Ивановская область |
| 81 | Крайнова Кира | Политолог, кандидат политических наук, Ярославская область |
| 82 | Краюхин Дмитрий | Главный редактор Информационно-аналитического правозащитного агентства «ЦентрРус», Орловская область |
| 83 | Кудинов Артем | Журналист, Алтайский край |
| 84 | Кудрявин Игорь | Политолог, Калининградская область |
| 85 | Кузьминых Екатерина | Журналист, Красноярский край |
| 86 | Кузьминых Константин | Эксперт Агентства стратегических инициатив, доцент кафедры ТГРС УГНТУ, кандидат экономических наук, Республика Башкортостан |
| 87 | Кучеров Андрей | Председатель Союза молодых политологов, Республика Карачаево-Черкесия |
| 88 | Лавров Андрей | Представитель Агентства политических и экономических коммуникаций (АПЭК), Челябинская область |
| 89 | Латыпов Ильдар | Профессор кафедры истории, теории и практики социальных коммуникаций УдГУ, доктор философских наук, Удмуртская Республика |
| 90 | Леонов Сергей | Заместитель председателя комитета Государственной думы РФ по охране здоровья, Москва |
| 91 | Липатникова Марина | Член Общественной палаты Вологодской области, Вологодская область |
| 92 | Листратов Константин | Директор Центра общественно-политических проектов, политконсультант, кандидат политических наук, Москва |
| 93 | Лукин Константин | Руководитель Алтайского центра политического консалтинга, политтехнолог, Республика Алтай |
| 94 | Лыков Николай | Главный редактор ИА «Взгляд-инфо», Саратовская область |
| 95 | Магомедов Магомед | Заместитель главного редактора газеты «Черновик», Республика Дагестан |
| 96 | Макаров Сергей | Политолог, Сахалинская область |
| 97 | Маклаков Евгений | Политтехнолог, Челябинская область |
| 98 | Максимов Андрей | Председатель комиссии Общественной палаты РФ по территориальному развитию и местному самоуправлению, директор Центра территориальных изменений и городского развития РАНХиГС, кандидат юридических наук, Москва |
| 99 | Малых Ярослав | Политолог, Волгоградская область |
| 100 | Малышкина Наталья | Доцент кафедры государственного и муниципального управления РАНХиГС, кандидат философских наук, Республика Чувашия |
| 101 | Мамонова Виктория | Ведущий аналитик Агентства политических и экономических коммуникаций (АПЭК), Москва |
| 102 | Мартынов Михаил | Руководитель регионального отделения Российского общества политологов, заведующий лабораторией социологических и правовых исследований Сургутского государственного университета, доцент, ХМАО |
| 103 | Матвейчев Олег | Заместитель председателя комитета Государственной думы ФС РФ по информационной политике, информационным технологиям и связи, Москва |
| 104 | Мезюхо Иван | Политолог, председатель Крымской региональной общественной организации «Центр политического просвещения», Республика Крым |
| 105 | Мельников Александр | Политолог, блогер, Челябинская область |
| 106 | Мельцер Михаил | Председатель Тюменского областного совета ВОИР, президент фонда поддержки научных исследований «Наука за продление жизни», Тюменская область |
| 107 | Милешкина Юлия | Политтехнолог, Санкт-Петербург |
| 108 | Митрофанов Евгений | Президент Сибирского правового центра защиты прав потребителей, Новосибирская область |
| 109 | Моисеева Юлия | Главный редактор SmolDaily.ru, Смоленская область |
| 110 | Мокиевский Евгений | Начальник службы информации МАУ центра «Вологда-Портал», главный редактор сайта и газеты «Вологда.РФ», Вологодская область |
| 111 | Морозов Алексей | Политический обозреватель, Архангельская область |
| 112 | Мусинский Алексей | Председатель Молодежного правительства, руководитель клуба исторической реконструкции «Белозерская дружина», Вологодская область |
| 113 | Мухаметов Руслан | Представитель Агентства политических и экономических коммуникаций (АПЭК), Свердловская область |
| 114 | Назаров Владимир | Председатель Союза журналистов, Республика Мордовия |
| 115 | Наливайко Павел | Политолог, Приморский край |
| 116 | Нейжмаков Михаил | Директор по аналитическим проектам Агентства политических и экономических коммуникаций (АПЭК), Москва |
| 117 | Нилов Ярослав | Председатель комитета Государственной думы ФС РФ по социальной политике, Москва |
| 118 | Овсянников Павел | Корреспондент экспертного портала «УралПолит», Курганская область |
| 119 | Овсянникова Юлия | Главный редактор РИА «Верхневолжье», Тверская область |
| 120 | Окорокова Наталья | Заместитель главного редактора информационно-аналитического агентства «Полит74», Челябинская область |
| 121 | Олейник Дмитрий | Главный редактор интернет-газеты «Глас народа», заместитель председателя Общественной палаты Саратова, Саратовская область |
| 122 | Омельченко Андрей | Член правления регионального отделения Союза журналистов России, Калининградская область |
| 123 | Орлов Дмитрий | Генеральный директор Агентства политических и экономических коммуникаций (АПЭК), кандидат исторических наук, Москва |
| 124 | Орлова Мария | Главный редактор тверского областного еженедельника «Караван ярмарка», Тверская область |
| 125 | Паймушкин Илья | Руководитель агентства «Социальные коммуникации», ХМАО |
| 126 | Паштов Борис | Председатель комитета парламента КБР по культуре, развитию институтов гражданского общества и СМИ, Республика Кабардино-Балкария |
| 127 | Пименов Денис | Руководитель агентства бизнес-консалтинга «Консул», кандидат технических наук, Воронежская область |
| 128 | Пирогов Александр | Политолог, Свердловская область |
| 129 | Прохоров Валерий | Заместитель директора Центра ПРИСП, Москва |
| 130 | Репневский Андрей | Профессор кафедры всеобщей истории Высшей школы социально-гуманитарных наук и международной коммуникации САФУ, доктор исторических наук, профессор, Архангельская область |
| 131 | Реутов Евгений | Политолог, кандидат социологических наук, Белгородская область |
| 132 | Рябцовский Георгий | Старший преподаватель кафедры математики информационных технологий РАНХиГС, Брянская область |
| 133 | Рязанцев Андрей | Политолог, Рязанская область |
| 134 | Савенков Роман | Доцент кафедры социологии и политологии Воронежского государственного университета, кандидат политических наук, Воронежская область |
| 135 | Сайгин Александр | Руководитель коммуникативного агентства «Импульс», политолог, Волгоградская область |
| 136 | Салин Павел | Политолог, кандидат юридических наук, Москва |
| 137 | Самиев Павел | Председатель комитета организации «Опора России» по финансовым рынкам, Москва |
| 138 | Самодуров Вадим | Руководитель агентства стратегических коммуникаций, политолог, Москва |
| 139 | Семенов Евгений | Руководитель Нижегородского филиала Фонда развития гражданского общества, кандидат политических наук, Нижегородская область |
| 140 | Сергеева Екатерина | Директор Алтайского центра политического консалтинга, Алтайский край |
| 141 | Серенко Андрей | Координатор Клуба экспертов Нижнего Поволжья, Волгоградская область |
| 142 | Сипров Вадим | Политолог, генеральный директор «Институт коммуникационного менеджмента», Самарская область |
| 143 | Скороходова Ольга | Преподаватель Поволжского института им. Столыпина РАНХиГС при Президенте РФ, Саратовская область |
| 144 | Слатинов Владимир | Заведующий кафедрой государственного и муниципального управления Курского государственного университета, доктор политических наук, Курская область |
| 145 | Слинько Александр | Заведующий кафедрой политологии и политического управления Воронежского филиала РАНХиГС при Президенте РФ, доктор политических наук, Воронежская область |
| 146 | Солонина Галина | Политический обозреватель, Иркутская область |
| 147 | Солонников Дмитрий | Политолог, Санкт-Петербург |
| 148 | Становой Андрей | Генеральный директор Центра политического консультирования, Ярославская область |
| 149 | Судаков Александр | Координатор «Нижегородского пресс-клуба», журналист, политолог, Нижегородская область |
| 150 | Сумин Антон | Директор информационного агентства «Малая родина», Рязанская область |
| 151 | Суслов Евгений | Доцент кафедры русского языка, литературы и журналистики Марийского государственного университета, кандидат политических наук, Республика Марий Эл |
| 152 | Таланов Сергей | Руководитель Ярославского регионального отделения Российского общества социологов, кандидат социологических наук, доцент, Ярославская область |
| 153 | Тарбастаева Инна | Социолог, Новосибирская область |
| 154 | Ташматова Галина | Генеральный директор Центра кубанской журналистики, главный редактор издания «Новая газета Кубани», Краснодарский край |
| 155 | Телегин Александр | Представитель Агентства политических и экономических коммуникаций (АПЭК), Ленинградская область |
| 156 | Теребова Светлана | Директор Агентства мониторинга и социологических исследований, Вологодская область |
| 157 | Терский Максим | Редактор AST-NEWS.ru, Астраханская область |
| 158 | Тимирчев Илья | Политолог, Саратовская область |
| 159 | Ткачев Михаил | Директор ГТРК «Ставрополье», Ставропольский край |
| 160 | Трескин Вадим | Представитель Агентства политических и экономических коммуникаций (АПЭК), Архангельская область |
| 161 | Труфанов Константин | Управляющий партнер коммуникационного агентства «Первый советник», Удмуртская Республика |
| 162 | Туровский Ростислав | Вице-президент Центра политических технологий, доктор политических наук, Москва |
| 163 | Уразаев Эдуард | Политолог, Республика Дагестан |
| 164 | Файрузов Александр | Главный редактор сетевого издания «Челябинск сегодня», Челябинская область |
| 165 | Филатов Артем | Политолог, Вологодская область |
| 166 | Хамидуллин Марат | Директор Агентства нестандартных политических и корпоративных ситуаций,
Удмуртская Республика |
| 167 | Хансверов Рустам | Главный редактор газеты «Люберецкая панорама», заместитель председателя Союза журналистов Подмосковья, Московская область |
| 168 | Хасмагомадов Эдильбек | Директор Национальной библиотеки Чеченской Республики, историк, публицист, общественный деятель, кандидат исторических наук, Чеченская Республика |
| 169 | Храпач Сергей | Экономист, эксперт в сфере безопасности, Москва |
| 170 | Целищев Дмитрий | Управляющий директор инвестиционной компании «Риком-Траст», Москва |
| 171 | Цыганков Анатолий | Представитель Агентства политических и экономических коммуникаций (АПЭК), Республика Карелия |
| 172 | Цыпленков Сергей | Руководитель Калининградского социологического центра, Калининградская область |
| 173 | Чаблин Антон | Главный редактор аналитического интернет-портала «Акценты», кандидат политических наук, Ставропольский край |
| 174 | Черемухин Роман | Руководитель аналитического агентства «Стратагема», Москва |
| 175 | Черникова Виктория | Доцент кафедры социологии и политологии исторического факультета Воронежского государственного университета, кандидат политических наук, Воронежская область |
| 176 | Чернышов Юрий | Заведующий кафедрой всеобщей истории и международных отношений Алтайского государственного университета, директор Алтайской школы политических исследований, доктор исторических наук, Алтайский край |
| 177 | Чернявский Александр | Политический аналитик, Красноярский край |
| 178 | Чирун Сергей | Доктор политических наук, профессор, Кемеровская область |
| 179 | Шабуров Алексей | Редактор ИА «Политсовет», политолог, Свердловская область |
| 180 | Шаповалов Владимир | Руководитель проектов Экспертного института социальных исследований (ЭИСИ), кандидат исторических наук, Москва |
| 181 | Шаяхметов Арсен | Политолог, старший преподаватель Уфимского университета науки и технологий, Республика Башкортостан |
| 182 | Шейда Геннадий | Член Общественной палаты Алтайского края, доцент кафедры политологии АлтГУ, Алтайский край |
| 183 | Шешукова Галина | Представитель Агентства политических и экономических коммуникаций (АПЭК), Оренбургская область |
| 184 | Шиндяев Владислав | Политконсультант, Иркутская область |
| 185 | Шляпужников Алексей | Издатель информационного агентства «ПроВладимир», Владимирская область |
| 186 | Шмидт Сергей | Доцент кафедры мировой истории и международных отношений ИГУ, кандидат исторических наук, Иркутская область |
| 187 | Яременко Николай | Главный редактор ИА «РосБалт», доцент Финансового университета при правительстве РФ, Москва |
| 188 | Ярулин Илдус | Доктор политических наук, профессор, Хабаровский край |
| 189 | Ястреб Наталья | Директор Института социальных и гуманитарных наук ВоГУ, Вологодская область |
